0  428387  428395  428401  428405  428411  428413  428417  428423  428425  428431  428437  428441  428443  428447  428453  428455  428461  428465  428467  428471  428473  428477  428479  428481  428482  428483  428485  428486  428487  428489  428491  428495  428497  428501  428503  428507  428513  428515  428521  428525  428527  428531  428537  428543  428545  428551  428555  428557  428563  428567  428573  428581  447090 

1.比例法:利用串、并联电路的特点测量电阻,即利用串联电路中电流处处相等,电压与电阻成正比;并联电路中,电压相等,电流与电阻成反比测量电阻。(1)串联测量法:如图所示,用两个完全相同的电压表分别并联在待测电阻RX 和标准电阻R0上,记下两个电压表的示数UX和U0,则待测电阻RX为:RX= R0UX/ U0 (2)并联测量法:如图所示,用两个完全相同的电流表分别串联在待测电阻RX和标准电阻R0,记下两个电流表的示数IX和I0,则待测电阻RX为:RX= R0I0/ IX

试题详情

3.实验试探法:按图接好电路,让电压表的一根接线P先后与a、b处接触一下,如果电压表的示数有显著的变化,而电流表的示数变化不显著,则可采用电流表外接法;如果电流表的示数有显著的变化,而电压表的示数变化不显著,则可采用电流表内接法。判断示数变化是否显著时,要比较变化量比初始示数的比值,比值大的说明变化显著。.

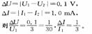
[应用1](07北京西城模拟)某同学用伏安法测一个未知电阻,他先将电压表接a点,读得两表示数分别为U1=  3.()V,I1=3.0mA,然后将电压表改接在a点,读得两表示数分别为U2=2.9 V,I2=4.0 mA,如图所示。由此可知电压表应接到      点误差较小,测得R值应为     Ω。

导示: 两种接法中两表示数变化分别为:

可见电流表示数的变化较电压表示数变化明显,这说明电压表的分流作用较大。为了减小误差,应采用电流表内接法,即电压表接在a点。当电压表接在a点时,R=U1/I1

知识点二测量电阻的其他方法

试题详情

2.临界值计算法:当内外接法相对误差相等时,有RA/RX=RX/RV,所以为临界值,待测电阻比临界值大,用内接法;待测电阻比临界值小,用内接法;待测电阻与临界值相差不多,两种方法都可以。 

试题详情

1.阻值比较法:先将待测电阻的粗约值与电压表、电流表内阻进行比较,若R《RV,宜采用电流表外接法;若R》RA,宜采用电流表内接法。

试题详情

3.两种控制电路;(如图所示)

知识点一确定电流表内接、外接的方法

试题详情

2.两种测量电阻的电路:(如图所示)

它们的等效电路图:(如图所示)

试题详情

1.原理:部分电路欧姆定律

试题详情

2.学会测量金属丝电阻率的测量方法。

[知识再现]

伏安法测电阻

试题详情

1.学会电阻测量的实验设计方案和掌握数据处理方法。

试题详情

15.下图表示遗传信息在生物大分子间的传递规律。A-C为物质,①-⑤为过程。

(1)图中A的中文名称是    ;②过程产生的B物质需通过  进入细胞质。⑤表示  过程,发生的场所是  ;①-⑤过程中,在骨髓细胞和骨细胞中都能发生的是  (数字);过程①-⑤中发生碱基互补配对的有  。①②过程都需要的酶是  

 (2)禽流感病毒遗传信息传递与表达的途径有  (数字),禽流感病毒有多种亚型,是目前研制疫苗的主要困难,其原因是                   

病毒除感染家禽外,还能感染其他哺乳动物,则说明所有生物共用一套  

解析:由图示信息可知,A、B、C分别为DNA、RNA和蛋白质,过程①②③④⑤分别是DNA复制、转录、逆转录、RNA复制、翻译,脱氧核糖核酸简称DNA。转录成的RNA通过核孔进入细胞质中,在核糖体上完成翻译过程,骨髓细胞可以增殖,有DNA的复制过程,骨细胞是高度分化的细胞,没有增殖能力,无DNA的复制。但二者都是活细胞,可以进行遗传信息的表达,有②⑤过程。①-⑤中都有碱基互补配对行为,DNA的复制和转录过程都要进行DNA解螺旋,需要解旋酶的参与。禽流感病毒为RNA病毒,其遗传信息的传递和表达指④⑤过程,RNA是单链结构,不稳定,易发生变异,从而给疫苗的研制带来很大困难;禽流感病毒在哺乳动物体内可以正常表达,因为所有的生物共用一套遗传密码。

答案:(1)脱氧核糖核酸 核孔 翻译 核糖体 ②⑤ ①②③④⑤ 解旋酶 (2)④⑤ 禽流感病毒的遗传物质RNA为单链结构,容易发生变异 密码子

试题详情


同步练习册答案