精英家教网 > 高中物理 > 题目详情
如图所示,一平行板电容器与电源连接,负极板B接地,以E表示两板间的电场强度,U表示电容器的电压,φp表示P的电势,闭合开关后再断开,保持正极板A不动,将负极板B向下移动一小段距离后,则(  )
A.U不变,E不变B.E不变,φp变小
C.U变大,φp变大D.E变大,φP变大
魔方格
相关习题

科目:高中物理 来源: 题型:

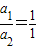
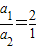
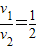
如图所示,一平行板电容器与电源相连,从负极板上某处释放一个电子e,设其到达正极板的速度为v1,运动过程中加速度为a1,现将两板间距离增为原来的2倍,再从负极板处释放一电子,设其到达正极板的速度为v2,运动过程中加速度为a2,则(  )

查看答案和解析>>

科目:高中物理 来源: 题型:

精英家教网如图所示,一平行板电容器与电源电动势为E的电源相连,充电后仍保持连接,且带电油滴在极板间的P处静止.若将板间距变小些,则(  )
A、电容器的电荷量增加,油滴向上加速运动B、电容器的电荷量减少,油滴向下加速运动C、电容器的电荷量不变,油滴保持静止不动D、电容器的电荷量不变,油滴的运动情况无法判断

查看答案和解析>>

科目:高中物理 来源:2012-2013学年安徽省四校高三5月联考物理试卷(解析版) 题型:选择题

如图所示,一平行板电容器与电源电动势为E的电源相连,充电后仍保持连接,且带电油滴在极板间的P处静止。若将板间距变小些,则(  )

A.电容器的电荷量增加,油滴向上加速运动

B.电容器的电荷量减少,油滴向下加速运动

C.电容器的电荷量不变,油滴保持静止不动

D.电容器的电荷量不变,油滴的运动情况无法判断

 

查看答案和解析>>

科目:高中物理 来源:2010-2011学年江西省吉安市高三最后一次模拟考试(理综)物理部分 题型:选择题

如图所示,一平行板电容器与电源连接,负极板B接地,以E表示两板间的电场强度,U表示电容器的电压,φp表示P的电势,闭合开关后再断开,保持正极板A不动,将负极板B向下移动一小段距离后,则(    )

A.U不变,E不变                B.E不变,φp变小

C.U变大,φp变大               D.E变大,φP变大

 

查看答案和解析>>

科目:高中物理 来源: 题型:单选题

如图所示,一平行板电容器与电源电动势为E的电源相连,充电后仍保持连接,且带电油滴在极板间的P处静止。若将板间距变小些,则(  )

A.电容器的电荷量增加,油滴向上加速运动
B.电容器的电荷量减少,油滴向下加速运动
C.电容器的电荷量不变,油滴保持静止不动
D.电容器的电荷量不变,油滴的运动情况无法判断

查看答案和解析>>

科目:高中物理 来源:咸阳三模 题型:单选题

如图所示,一平行板电容器与电源连接,负极板B接地,以E表示两板间的电场强度,U表示电容器的电压,φp表示P的电势,闭合开关后再断开,保持正极板A不动,将负极板B向下移动一小段距离后,则(  )
A.U不变,E不变B.E不变,φp变小
C.U变大,φp变大D.E变大,φP变大
精英家教网

查看答案和解析>>

科目:高中物理 来源:2010-2011学年山东省潍坊市寿光市高二(上)模块物理试卷(选修3-1)(解析版) 题型:选择题

如图所示,一平行板电容器与电源相连,从负极板上某处释放一个电子e,设其到达正极板的速度为v1,运动过程中加速度为a1,现将两板间距离增为原来的2倍,再从负极板处释放一电子,设其到达正极板的速度为v2,运动过程中加速度为a2,则( )

A.
B.
C.
D.?

查看答案和解析>>

科目:高中物理 来源:2011年陕西省咸阳市高考物理三模试卷(解析版) 题型:选择题

如图所示,一平行板电容器与电源连接,负极板B接地,以E表示两板间的电场强度,U表示电容器的电压,φp表示P的电势,闭合开关后再断开,保持正极板A不动,将负极板B向下移动一小段距离后,则( )
A.U不变,E不变
B.E不变,φp变小
C.U变大,φp变大
D.E变大,φP变大

查看答案和解析>>

科目:高中物理 来源:不详 题型:单选题

如图所示,一平行板电容器与电源电动势为E的电源相连,充电后仍保持连接,且带电油滴在极板间的P处静止。若将板间距变小些,则(  )
A.电容器的电荷量增加,油滴向上加速运动
B.电容器的电荷量减少,油滴向下加速运动
C.电容器的电荷量不变,油滴保持静止不动
D.电容器的电荷量不变,油滴的运动情况无法判断

查看答案和解析>>

科目:高中物理 来源: 题型:单选题

如图所示,一平行板电容器与电源电动势为E的电源相连,充电后仍保持连接,且带电油滴在极板间的P处静止。若将板间距变小些,则


  1. A.
    电容器的电荷量增加,油滴向上加速运动
  2. B.
    电容器的电荷量减少,油滴向下加速运动
  3. C.
    电容器的电荷量不变,油滴保持静止不动
  4. D.
    电容器的电荷量不变,油滴的运动情况无法判断

查看答案和解析>>


同步练习册答案