精英家教网 > 初中化学 > 题目详情
碳酸氢钠(NaHCO3)俗称小苏打,是一种白色固体,是焙制糕点所用的发酵粉的主要成分之一,它能与稀硫酸等酸反应生成CO2.试回答:
(1)写出NaHCO3与稀硫酸反应的化学方程式______.
(2)如何用98%的硫酸(密度为1.84g/mL)配制980g18.4%的硫酸溶液?.______.
(3)现将45g NaHCO3(混有KHCO3)固体粉末加入100mL稀硫酸,恰好完全反应后使气体全部逸出,固体粉末的质量与产生CO2体积的关系如图(该状况下,CO2的密度为2g/L).通过计算:
①求100mL稀硫酸中硫酸的质量.
②若稀硫酸为120mL时,加入固体粉末为58.5g,求产生CO2的体积.

【答案】分析:(1)根据复分解反应的规律写出反应的化学方程式;
(2)先计算出需要浓硫酸和水的体积,然后根据稀释浓硫酸的方法进行操作;
(3)①先求出二氧化碳的质量,然后根据二氧化碳的质量求出硫酸的质量;②先确定硫酸与固体物质哪种反应完,再根据反应完的这种物质求出二氧化碳的质量,进而求出二氧化碳的体积.
解答:解:(1)碳酸氢钠和硫酸反应生成硫酸钠、水和二氧化碳.故答案为:2NaHCO3+H2SO4=Na2SO4+2CO2↑+2H2O
(2)设需要98%的浓硫酸的体积为x
x?1.84g/ml×98%=980g×18.4%
             x=100ml
需要水的体积==796ml
稀释浓硫酸时应将浓硫酸沿器壁慢慢注入水中,并用玻璃棒不断搅拌.
故答案为:将100ml98%的H2SO4沿着烧杯内壁慢慢倒入796ml水中,同时用玻璃棒不断搅拌.
(3)①二氧化碳的质量=2g/L×11L=22g
NaHCO3和KHCO3的化学式格式一样,为了计算的方便,可以设它们的化学式都为RHCO3
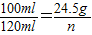
设100ml稀硫酸中硫酸的质量为y
2RHCO3+H2SO4=R2SO4+2H2O+2CO2
             98         88
              y         22g
           
             y=24.5g
答:100ml稀硫酸中硫酸的质量为24.5g
②100ml稀硫酸与45g固体恰好完全反应,设与120ml稀硫酸完全反应的固体粉末的质量为z,

      z=54g   
54g<58.5g,因而固体粉末过量,应以硫酸的质量进行计算.
100ml稀硫酸中含有硫酸24.5g,设120ml稀硫酸中含硫酸的质量为n

       n=29.4g
设产生二氧化碳的质量为m
2RHCO3+H2SO4=R2SO4+2H2O+2CO2
         98              88
         29.4g           m
             
             
               m=26.4g
产生二氧化碳的体积==13.2L
答:产生二氧化碳的体积为13.2L.
点评:稀释浓硫酸时,浓硫酸的质量+水的质量=稀硫酸的质量,但浓硫酸的体积+水的体积<稀硫酸的体积,因为分子之间有间隔,因而不能用稀硫酸的体积-浓硫酸的体积来求水的体积.
练习册系列答案
相关习题

科目:初中化学 来源: 题型:

13、化学来源于生活,应用于生活.据化学知识回答下列问题:
(1)空气中导致铁生锈的主要物质有
氧气、水

(2)铝比铁活泼,但铝制品比铁制品耐腐蚀.原因是
铝表面覆盖着致密的氧化膜

(3)若要验证铜、铁、铝的活动性顺序,某同学已经选择了打磨过的铁丝,你认为他还需要的另外两种溶液是
硫酸铜溶液
硫酸铝溶液

(4)铝制水壶内聚集了很多水垢[主要成分:CaCO3、Mg (OH)2],可用稀盐酸经短时间浸泡后,水垢全部除去.发生两个反应中,没有气泡产生的反应的化学方程式是
Mg(OH)2+2HCl═MgCl2+2H2O
,不能长时间浸泡的原因是
防止盐酸与铝壶发生反应

(5)井水中通常含有较多的钙、镁离子,属于硬水.可加入
加肥皂水
的方法区别井水和蒸馏水.请写出降低水的硬度一种方法是
煮沸

(6)胃液中含有适量的盐酸.治疗胃酸过多的药物有:细铁粉、氧化镁、氢氧化镁、碳酸氢钠等.用化学方程式表示细铁粉治疗胃酸过多的反应原理
Fe+2HCl═FeCl2+H2
,这几种药物治疗胃酸过多时所发生的反应中,属于复分解反应的有
个.
(7)发酵粉中的碳酸氢钠与有机酸(化学式用HX表示)反应,使蒸出的馒头有许多小孔.其反应的化学方程式为
NaHCO 3+HX═NaX+H2O+CO 2

(8)用水鉴别NaOH、NaCl、CaCO3三种固体物质时,能够鉴别出NaOH固体所依据的现象是
能溶解于水,且放热

查看答案和解析>>

科目:初中化学 来源: 题型:阅读理解

小强同学看到妈妈将买来的排水口洗净剂(主要成分:过碳酸钠、柠椒酸)洒在厨房排水口网状盖的底部,倒上温水后有气泡冒出。激发了探究欲望。他决定与学习小组的同学,对所产生气体的成分及排水口洗净剂主要成分的作用进行探究。

[探究活动一]

  老师提示:排水口洗净剂与水作用的生成物中有两种常见的气体。同学们根据所学的化学知识设计并进行如左下图所示的实验。

实验中观察到如下现象:A中有气泡产生;B中的澄清石灰水变浑浊;C中收集到的气

体能使燃着的木条燃烧更旺。由此同学们得出结论:生成的两种气体分别是: 

    。B中有关反应的化学方程式               


[探究活动二]

  老师提供了一瓶过碳酸钠( Na2CO4 ),引导同学进行如下实验探究:

     根据上述实验结果得出结论:无色溶液x中含有的一种溶质是      。根据质量守恒定律,同学们对溶液x中还可能存在其它溶质作出如下猜想:

  ① Na2CO3      ②NaHCO3     ③Na2CO3和NaHCO3的混合物。

资料摘要I:氯化钙溶液呈中性;氯化钙溶液与碳酸氢钠溶液混合不发生反应;氯化钙溶液

     与碳酸钠溶液混合后发生如下反应:Na2CO3 + CaCl2= CaCO3↓+ 2NaC1

资料摘要Ⅱ; NaHCO,溶液呈碱性;碳酸氢钠、碳酸钠分别与足量的酸反应产物相同。

资料摘要Ⅲ :柠檬酸是一种有机酸,与盐酸具有相似的化学性质。

实验验证:

实验步骤[来源:学科网]

实验现象

实验结论

a、区上述无色溶液X少量于试管中,至不再冒气泡为止,加入足量的氯化钙溶液

产生白色沉淀

无色溶液X中含有     

b、取步骤a所得上层清液少量,滴加

         

     

无色溶液X中不含   

  综合上述两个探究活动的结果,同学们明确了上述猜想     (填序号)是正确的。请你简述在排水口洗净剂与水接触产生气体的过程中,柠檬酸所起的相关作用:   

查看答案和解析>>

同步练习册答案