精英家教网 > 初中化学 > 题目详情
某校化学兴趣小组的学生取60g氯化钙溶液,向其中加入适量碳酸钠溶液,反应完成后过滤,所得固体用作制取牙膏摩擦剂的主要原料,同时所得滤液用来进行小麦选种(选种液要求氯化钠的质量分数在10%-20%之间).实验过程中所加碳酸钠溶液的质量与生成碳酸钙沉淀的质量关系如图所示.
通过图可知,当氯化钙恰好反应完时:
(1)消耗碳酸钠溶液的质量为______g,生成碳酸钙沉淀的质量为______g.
(2)请通过计算回答,此时所得氯化钠溶液能否作为小麦选种液?
【答案】分析:(1)根据图表中数据来分析消耗碳酸钠溶液质量和生成沉淀质量;(2)计算根据沉淀质量计算出生成的氯化钠质量,再计算出氯化钠的质量分数与选种液要求进行对比即可.
解答:解:(1)根据图象可知到达最高点已经反应完了,消耗碳酸钠溶液质量为50g,改成横线时说明沉淀不再增加,所以生成沉淀10g;
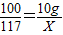
(2)设生成10g碳酸钙沉淀的同时生成氯化钠的质量为X则:
CaCl2+Na2CO3═CaCO3↓+2NaCl
              100      117
              10g       X
根据:解得X=11.7g;
反应后溶液质量为:60g+50g-10g=100g
所以氯化钠溶液的质量分数为×100%=11.7%;因为11.7%在10%-20%之间所以能作为小麦选种液.
故答案为:(1)50;10;(2)11.7%.
点评:本题容易出错的地方是反应后溶液质量的计算,别忘了减去沉淀的质量,沉淀已经不能算溶液质量.
练习册系列答案
相关习题

科目:初中化学 来源: 题型:

21、在学了盐的性质以后,某校化学兴趣小组的同学开展了测定Na2CO3和NaCl的固体混合物中质量分数的如下探究实验.

(1)“操作1”的名称是
过滤
;该操作需要用到的铁制仪器是
铁架台

(2)写出加过量CaCl2反应的化学方程式
CaCl2+Na2CO3=CaCO3↓+2NaCl
;确定CaCl2溶液是否过量的方法是
静置,向上层清液中继续滴加Na2CO3溶液,若有沉淀说明CaCl2溶液已过量

(3)溶液M的溶质是
CaCl2、NaCl
;导致测定沉淀的结果偏大的原因可能是
沉淀未洗涤干净

查看答案和解析>>

科目:初中化学 来源: 题型:阅读理解

酸雨是pH小于5.6的降水.我国大部分地区所降酸雨主要是由居民和工厂燃烧含硫的煤以及某些化工厂生产过程中排放的二氧化硫气体,经过一系列化学反应而形成的.
(1)如果硫粉在氧气中燃烧,观察到的现象是
剧烈燃烧,放出热量,产生明亮的蓝紫色火焰,产生一种无色有刺激性气味的气体
剧烈燃烧,放出热量,产生明亮的蓝紫色火焰,产生一种无色有刺激性气味的气体
,该反应的化学方程式为
S+O2
 点燃 
.
 
SO2
S+O2
 点燃 
.
 
SO2

(2)几位同学为了探究木炭中是否含有少量硫元素,他们设计了如图1所示实验进行测定.请写出图中仪器a的名称:
坩埚钳
坩埚钳
.他们查阅资料后得知:“二氧化硫能使K2Cr2O7溶液褪色(由橙红色变成绿色),反应方程式为:“3SO2+K2Cr2O7+H2SO4═K2SO4++H2O”.然而化学方程式中有一生成物不清楚,请根据已学知识推测其化学式:
Cr2(SO43
Cr2(SO43
.反应前K2Cr2O7中Cr元素化合价为
+6
+6
价.
(3)如图2是1994年和2004年某城市的一天各个时刻测到的空气中二氧化硫的含量.下列说法不正确的是
D
D

A.曲线显示冬天大气中的二氧化硫含量比夏天高
B.曲线显示了1994年一天中大约8点左右二氧化硫的含量较高
C.二氧化硫的含量在10年间降低的原因可能是加强了燃料的脱硫和控制了二氧化硫的排放
D.二氧化硫污染的主要来源是汽车排放的尾气,控制污染的方法是禁止使用汽车
(4)在研究酸雨危害的过程中,测定该地区雨水的pH的实验操作
用玻璃棒蘸取雨水,点在试纸上,与标准比色卡对照,读取数值
用玻璃棒蘸取雨水,点在试纸上,与标准比色卡对照,读取数值

某化学兴趣小组取刚降到地面的雨水,每隔一定时间用较精密的pH计测定其pH,数据如下:
测定时间/分钟 0 1 2 3
pH 4.73 4.62 4.56 4.55
由此可知该雨水的酸性越来越
(填“强”或“弱”),最终趋于稳定.可能的原因是雨水中的H2SO3被氧气氧化为H2SO4,化学方程式为
2H2SO3+O2=2H2SO4
2H2SO3+O2=2H2SO4

(5)酸雨造成的危害很多.某兴趣小组调查发现某市的石刻的表面有不同程度的腐蚀.且近20年的腐蚀速度大大超过以往,其中最主要原因之一就是酸雨.为了减缓石刻腐蚀,请你提一条建议:
使用清洁能源
使用清洁能源
.酸雨会使河流、湖泊酸化.如图3是某市去年某河流一年中不同时期河水的平均pH变化的折线图.则去年河水酸性最强的季度是第
季度.该季度雨水酸性最强的原因可能是:(答两条)
冬季取暖,需要燃烧大量化石燃料,加大了对河水的污染
冬季取暖,需要燃烧大量化石燃料,加大了对河水的污染
冬季降水量减少,河水中酸的浓度增大
冬季降水量减少,河水中酸的浓度增大

酸雨还会使土壤酸化.为了中和酸性土壤,可以使用熟石灰粉末,若该酸雨的成分是硫酸,请写出该中和反应的化学方程式
H2SO4+Ca(OH)2=CaSO4+2H2O
H2SO4+Ca(OH)2=CaSO4+2H2O

(6)某校化学兴趣小组在学完碱的化学性质后,想到用NaOH溶液吸收SO2,反应化学方程式如下:2NaOH+SO2═Na2SO3+H2O  用NaOH溶液吸收1000L已除去CO2的空气样品,溶液质量增重了0.64g.已知此时空气的密度约为1.3g/L,求:
①被吸收的SO2的质量
0.8
0.8
g.
②发生反应的NaOH的质量.(相对原子质量:Na-23  S-32  O-16)
③空气中SO2的质量分数(计算结果精确到0.01%).

查看答案和解析>>

科目:初中化学 来源: 题型:阅读理解

(2006?玄武区一模)酸雨是pH小于5.6的降水.我国大部分地区所降酸雨主要是由居民和工厂燃烧含硫的煤以及某些化工厂生产过程中排放的二氧化硫气体,经过一系列化学反应而形成的.
(1)如果硫粉在氧气中燃烧,观察到的现象是
产生明亮的蓝紫色火焰,放出热量,产生一种无色有刺激性气味的气体
产生明亮的蓝紫色火焰,放出热量,产生一种无色有刺激性气味的气体

,该反应的化学方程式为
S+O2
 点燃 
.
 
SO2
S+O2
 点燃 
.
 
SO2

(2)几位同学为了探究木炭中是否含有少量硫元素,他们设计了如图所示实验进行测定.请写出图中仪器a的名称:
坩埚钳
坩埚钳
.他们查阅资料后得知:“二氧化硫能使KMnO4溶液褪色(由紫红色变成无色),反应方程式为:
“5SO2+2KMnO4+2H2O═K2SO4+2MnSO4+2 ”.然而化学方程式中最后一种物质的化学式印刷不清楚,根据上下文了解到该物质是一种酸,请根据已学知识推测其化学式:
H2SO4
H2SO4
.反应后生成的MnSO4中Mn元素化合价为
+2
+2

(3)如图是1994年和2004年某城市的一天各个时刻测到的空气中二氧化硫的含量.下列说法不正确的是
D
D

A.曲线显示冬天大气中的二氧化硫含量比夏天高
B.曲线显示了1994年一天中大约8点左右二氧化硫的含量较高
C.二氧化硫的含量在10年间降低的原因可能是加强了燃料的脱硫和控制了二氧化硫的排放
D.二氧化硫污染的主要来源是汽车排放的尾气,控制污染的方法是禁止使用汽车
(4)在研究酸雨危害的过程中,测定该地区雨水的pH的实验操作
用玻璃棒蘸取雨水,点在试纸上,与标准比色卡对照,读取数值
用玻璃棒蘸取雨水,点在试纸上,与标准比色卡对照,读取数值

某化学兴趣小组取刚降到地面的雨水,每隔一定时间用较精密的pH计测定其pH,数据如下:
测定时间/分钟 0 1 2 3
pH 4.73 4.62 4.56 4.55
由此可知该雨水的酸性越来越
(填“强”或“弱”),最终趋于稳定.
(5)酸雨造成的危害很多.某兴趣小组调查发现南京的六朝石刻的表面有不同程度的腐蚀.且近20年的腐蚀速度大大超过以往,其中最主要原因之一就是酸雨.为了减缓石刻腐蚀,请你提一条建议:
使用清洁能源
使用清洁能源
.    酸雨会使河流、湖泊酸化.下图是某市去年某河流一年中不同时期河水的平均pH变化的折线图.则去年河水酸性最强的季度是第
季度.该季度雨水酸性最强的原因可能是:(答两条)
冬季取暖,需要燃烧大量化石燃料,加大了对河水的污染;冬季降水量减少,河水中酸的浓度增大等
冬季取暖,需要燃烧大量化石燃料,加大了对河水的污染;冬季降水量减少,河水中酸的浓度增大等

酸雨还会使土壤酸化.为了中和酸性土壤,可以使用熟石灰粉末,若该酸雨的成分是硫酸,请写出该中和反应的化学方程式
H2SO4+Ca(OH)2=CaSO4+2H2O
H2SO4+Ca(OH)2=CaSO4+2H2O


(6)某校化学兴趣小组在学完碱的化学性质后,想到用NaOH溶液吸收SO2,反应化学方程式如下:2NaOH+SO2═Na2SO3+H2O  用NaOH溶液吸收1000L已除去CO2的空气样品,溶液质量增重了0.64g.已知此时空气的密度约为1.3g/L,求:
①被吸收的SO2的质量
0.64g
0.64g
g.
②发生反应的NaOH的质量.(相对原子质量:Na-23  S-32  O-16)
③空气中SO2的质量分数(计算结果精确到0.01%).

查看答案和解析>>

科目:初中化学 来源: 题型:

29、某校化学兴趣小组的同学经查阅资料知道:淀粉在适当温度和酸催化条件下可转变为葡萄糖,葡萄糖溶液与新制的氢氧化铜共煮,可生成红色的氧化亚铜(Cu2O).为探究淀粉在不同温度下转化为葡萄糖的程度,他们每人都进行了如下两步实验:
步骤1.用一支大试管取一定量淀粉与水混合,再加入适量的稀硫酸,摇匀,加热到一定的温度.实验过程中,各人控制温度不同,加热持续时间相同.
步骤2.然后用两支小试管各取少量大试管内的反应混合物,在其中一支小试管(编号为A)内滴加NaOH溶液至呈强碱性,再滴入4~5滴CuSO4溶液,并加热至沸;在另一支小试管(编号为B)内滴加2~3滴碘水.观察并记录现象.
(1)由于各人控制的温度不同,出现了下列三种情况.请你根据已学知识,帮助他们完成下列实验情况汇总表.
现象 结论
第一种情况 A试管中

B试管中
淀粉没有转化为葡萄糖
第二种情况 A试管中

B试管中
第三种情况 A试管中

B试管中
淀粉完全转化为葡萄糖
(2)在步骤2中A试管内所加NaOH溶液的作用是
中和稀硫酸、制备氢氧化铜沉淀、使混合液呈碱性

查看答案和解析>>

科目:初中化学 来源: 题型:阅读理解

14、在学了盐的性质以后,某校化学兴趣小组的同学开展了测定Na2CO3和NaCl
的固体混合物中质量分数的探究实验.他们设计了如下的实验方案:
[方案一]气体分析法.
(1)如下图1所示,把混合物与足量稀盐酸反应后,测定产生的CO2气体的体积.其
中仪器a的名称是
锥形瓶
,检查该装置的气密性时,某同学将注射器活塞拉出一定距离,松开活塞,活塞不能回到原位.则说明该装置的气密性
不好


(2)有同学提出以图2代替图1中的收集装置,其中在水面上放一层植物油的目的是
防止CO2溶于水
,植物油上方原有空气对实验结果
没有
(填“有”或“没有”)影响.
(3)也有人用图3装置测定CO2的质量 (碱石灰的成分是CaO和NaOH的混合物,可吸收CO2气体).该装置导致实验结果偏小的可能原因是
A

A、装置内残留的CO2气体不能全部排出.
B、产生的CO2气体中混有氯化氢气体,同时被碱石灰吸收.
C、产生的CO2气体中混有水蒸气,同时被碱石灰吸收.
D、球形干燥管与空气相通,也会吸收空气中的CO2和H2O.
[方案二]沉淀分析法 (如下图所示).则:
(1)“操作1”的名称是
过滤

(2)溶液M中含有的阳离子有
Ca2+、Na+

(3)确定CaCl2溶液是否过量的方法是
静置,向上层清液中滴加Na2CO3溶液,若有沉淀说明CaCl2溶液已过量

(4)求写出Na2CO3的质量分数为
10.6%

(5)若沉淀A没有洗涤烘干,导致Na2CO3的质量分数
偏大
(填“偏大”或“偏小”).

查看答案和解析>>

同步练习册答案