相关习题
 0  137386  137394  137400  137404  137410  137412  137416  137422  137424  137430  137436  137440  137442  137446  137452  137454  137460  137464  137466  137470  137472  137476  137478  137480  137481  137482  137484  137485  137486  137488  137490  137494  137496  137500  137502  137506  137512  137514  137520  137524  137526  137530  137536  137542  137544  137550  137554  137556  137562  137566  137572  137580  211419 

科目: 来源: 题型:


下列各组物质,只用稀盐酸就能将三种物质区分开来的是(  )

 

A.

澄清石灰水、酚酞溶液、食盐水

 

B.

硝酸银溶液、稀硫酸、碳酸氢钠溶液

 

C.

木炭粉、氧化铜粉、铁粉

 

D.

硝酸钾溶液、氯化钡溶液、硫酸钠溶液

查看答案和解析>>

科目: 来源: 题型:


下列各组溶液中,仅用组内物质就能鉴别出来,且均为无色溶液的是(  )

 

A.

NaOH   酚酞   Na2CO3   KCl

 

B.

KCl   Ca(OH)2  HCl   NaNO3

 

C.

FeCl3   NaOH   MgSO4    KNO3

 

D.

KOH   稀H2SO4   KCl   酚酞

查看答案和解析>>

科目: 来源: 题型:


区分稀硫酸和稀盐酸,不能使用的试剂是(  )

 

A.

Ba(NO32

B.

BaCl2

C.

Ba(OH)2

D.

NaCl

查看答案和解析>>

科目: 来源: 题型:


下列各组物质的溶液,需要加入其他试剂才能鉴别出来的是(  )

 

A.

NaOH  NaCl  KNO3  MgCl2

 

B.

NaOH  NaCl  HCl  FeCl3

 

C.

Na2SO4  BaCl2  HCl  K2CO3

 

D.

Na2CO3  H2SO4  HCl  Ba(NO32

查看答案和解析>>

科目: 来源: 题型:


下列说法正确的是(  )

 

A.

用水区分氯化铁,氯化钠,硝酸钾三种晶体

 

B.

无色透明的液体都为溶液

 

C.

品红在水中扩散,说明分子在不断运动

 

D.

海水晒盐是化学变化

查看答案和解析>>

科目: 来源: 题型:


A、B、C、D是初中化学中常见的物质,其中A是胃酸的主要成分,B在农业上常用于改良酸性土壤,B和C的物质类别相同,它们相互反应及转化关系如图所示(“→”表示由一种物质可以转化为另一种物质,“﹣”表示相邻的物质间可以相互反应,其中部分反应物和生成物及反应条件已略去),请回答:

(1)D物质是      

(2)若C是一种不溶性的固体,则C可能是      

(3)写出A和B反应的化学方程式      

查看答案和解析>>

科目: 来源: 题型:


 

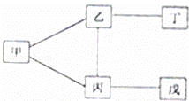
如图所示,甲、乙、丙、丁、戊分别是Na2CO3溶液、Fe2O3、Ca(OH)2溶液、BaCl2溶液和稀盐酸中的一种,图中短线相连的物质相互发生反应.已知丙溶液能使紫色石蕊溶液变成红色.

请回答下列问题:

(1)丁物质的化学式是      

(2)甲和乙反应的化学方程式是      

(3)丙与戊反应的化学方程式是      

(4)向盛有甲溶液的烧杯中滴加丙溶液,烧杯中溶液的pH会      (填“增大”或“减小”).

查看答案和解析>>

科目: 来源: 题型:


 元素X、Y、Z、M是初中化学常见的四种元素.有关信息如表:

元素

有关信息

X

可形成相对分子质量最小的气体单质

Y

形成的一种单质是天然存在的最硬的物质

Z

其单质约占空气体积的

M

人体内含量最高的金属元素

(1)M元素的名称是      

(2)Y形成的天然存在的最硬的物质是      ,此物质不属于      (填“有机物”或“无机物”)

(3)由X、Y两元素组成的最简单的有机物是      (填化学式),该有机物中X元素的质量分数为      

(4)由Y、Z两元素组成的能用于人工降雨的固体物质是      

(5)由Z、M两元素按原子个数比1:1组成的化合物,俗称      ,写出它与水反应的化学方程式      

查看答案和解析>>

科目: 来源: 题型:


 

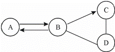
A、B、C、D为初中化学常见的四种物质,它们之间有如图所示的转化和反应关系(“→”表示某一种物质经一步反应可转化为另一种物质,“﹣”表示相连两物质能发生化学反应,部分反应物、生成物及反应条件已略去)

(1)若A、B、C、D中均含有一种相同的元素,常温下,A为无色液体,C为黑色固体,则A为      ,C与D发生的化学反应      (填“是”或“不是”)置换反应.

(2)若A、B、C、D为四种不同类别的化合物,C在生活中可用来除油污,且C的固体可作某些气体的干燥剂,则A为      ,写出B→C这一反应的化学方程式      

查看答案和解析>>

科目: 来源: 题型:


A~F是初中化学中常见的六种物质,其中B、C组成元素相同,C、D、E、F是不同类别的化合物,D和E的溶液均呈碱性,且E可用作建筑材料,它们相互间的关系如图所示,(图中“﹣”表示相连的物质两两之间可以发生反应,“→”表示由某一物质转化为另一物质,部分反应物、生成物及反应条件已略去)

请回答:

(1)E的化学式      ;C的化学式      

(2)写出有关反应的化学方程式:

      

      

查看答案和解析>>

同步练习册答案