相关习题
 0  137767  137775  137781  137785  137791  137793  137797  137803  137805  137811  137817  137821  137823  137827  137833  137835  137841  137845  137847  137851  137853  137857  137859  137861  137862  137863  137865  137866  137867  137869  137871  137875  137877  137881  137883  137887  137893  137895  137901  137905  137907  137911  137917  137923  137925  137931  137935  137937  137943  137947  137953  137961  211419 

科目: 来源: 题型:


为了维持人体正常的生命活动,人体不同器官内的体液具有不同的酸碱性,根据下表可知,在正常情况下(  )

体液

唾液

胆汁

胰液

pH

6.6~7.1

7.1~7.3

7.5~8.0

A.人体的唾液一定呈酸性

B.人体的胆汁一定呈碱性

C.人体的胰液能使紫色石蕊试液变红色

D.酚酞试液可精确测得以上体液的pH

查看答案和解析>>

科目: 来源: 题型:


下列关于pH的说法正确的是( )

A.酸溶液的pH越大,酸性越强

B.碱溶液的pH大于7,盐溶液的pH等于7

C.测定溶液的pH时,需先将pH试纸润湿

D.测定人体内液体的pH,可以了解人体的健康状况

查看答案和解析>>

科目: 来源: 题型:


下列数据是一些物质的pH,其中呈碱性的是()

A.液体肥皂 B.西瓜汁 C.酱油 D.柠檬汁

查看答案和解析>>

科目: 来源: 题型:


某同学郊游时不慎被蜜蜂蛰伤,蜜蜂的刺液是酸性的。为减轻疼痛可以在蛰伤处涂抹(  )

A.食醋(pH≈2)    B.牛奶(pH≈6.5)

C.矿泉水(pH≈7)  D.肥皂水(pH≈10)

查看答案和解析>>

科目: 来源: 题型:


通过学习碱的性质,某化学兴趣小组的同学对实验室的“氢氧化钙是否变质以及变质的程度”展开了探究活动,请你一同参与:

(1)提出问题:氢氧化钙是否变质?

(2)猜想与假设:同学们经过讨论认为样品存在三种可能情况:没有变质;部分变质;完全变质。

(3)实验探究:

实验步骤及操作

实验现象

实验结论

取样于试管中,加入足量蒸馏水振荡,静置。

①取上层滤液,滴入无色酚酞试液。

②倒去上层溶液,再向试管中滴入稀盐酸。

①无色酚酞试液变红,

②_ _

部分变质

①无色酚酞不变红,

②_ _

_ _

①_ _

②没有气泡产生

_

(4)小结与思考:

①氢氧化钙变质是由于它与空气中的_ _发生反应,反应的化学方程式是_ _,因此氢氧化钙应_ _保存。

②小蔓同学根据上述的实验方案进行实验,确定该样品已部分变质。请写出实验中反应的化学方程式_ _。

③氢氧化钙俗称熟石灰,农业上常用来_ _。

查看答案和解析>>

科目: 来源: 题型:


某班同学为验证酸的化学通性,做了五组实验。分析并回答问题。

(1)A组试管中都产生H2。若要制得较纯的H2,选稀硫酸而不选盐酸的原因是_ _。

(2)B组试管中实验现象相同,该现象是_。

(3)写出C组任一试管中发生反应的化学方程式

_。

(4)上述五组实验中没有体现酸的通性的是_ (填序号)。

查看答案和解析>>

科目: 来源: 题型:


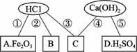
某同学构建了酸碱的化学性质知识网络,如图A、B、C、D是不同类别的无机化合物,“-”表示物质在一定条件下可以发生化学反应。请回答下列问题:

(1)用CaO制Ca(OH)2的化学方程式_ _,该反应_ _热。

(2)反应①的化学方程式为_ _,实验现象为_;

(3)写出图中一个中和反应的化学方程式_;

(4)物质C应具备的条件是_ _。

查看答案和解析>>

科目: 来源: 题型:


实验室中常需要使用硫酸。

(1)用小木棍蘸少量浓硫酸,放置一会儿后,可观察到_ _。

(2)98%的浓硫酸稀释为稀硫酸时,一定要将_ _沿烧杯壁缓慢地注入盛有_ _的烧杯里,并用_  搅拌,此时若用手轻轻触碰烧杯外壁,有_ _的感觉。

(3)49 g质量分数为20%的稀硫酸与足量锌反应,最多生成氢气的质量是多少?(写出计算过程)

查看答案和解析>>

科目: 来源: 题型:


对知识的归纳和总结是学好化学的重要方法。在学习了碱的性质后,小红同学总结了氢氧化钙的四条化学性质(如图),即氢氧化钙与图中四类物质能够发生化学反应。

(1)为了验证氢氧化钙与酸碱指示剂反应,小红将无色酚酞试液滴入氢氧化钙溶液中,溶液由无色变成_色。

(2)利用氢氧化钙与碳酸钠反应的性质,可以除去氢氧化钠溶液中少量的氢氧化钙杂质,请写出该化学反应的方程式_。

 

查看答案和解析>>

科目: 来源: 题型:


氢氧化钠和氢氧化钙是两种重要的碱,它们既有共性,也有个性。

(1)它们的水溶液的pH都_ _7(填“大于”“等于”或“小于”);都能使紫色石蕊试液变_ _色。

(2)它们都能与二氧化碳发生反应,写出检验二氧化碳的化学方程式_ 

(3)它们都能与酸发生中和反应,写出氢氧化钠溶液与稀盐酸反应的化学方程式_ _。

(4)两者易溶于水显著放热的是_(填俗称),用于改良酸性土壤的是_ _(填俗称)。

(5)氢氧化钙转化为氢氧化钠的化学方程式是_Na2CO3+Ca(OH)2===CaCO3↓+2NaOH_。

查看答案和解析>>

同步练习册答案