相关习题
 0  60492  60500  60506  60510  60516  60518  60522  60528  60530  60536  60542  60546  60548  60552  60558  60560  60566  60570  60572  60576  60578  60582  60584  60586  60587  60588  60590  60591  60592  60594  60596  60600  60602  60606  60608  60612  60618  60620  60626  60630  60632  60636  60642  60648  60650  60656  60660  60662  60668  60672  60678  60686  211419 

科目: 来源:2009年全国中考真题专题汇编专题二 物质的鉴别、鉴定、推断 题型:单选题

(09湛江)除去下列物质中的杂质(括号内为杂质),所选用的试剂及操作方法均正确的一组是( )

A.
B.
C.
D.

查看答案和解析>>

科目: 来源:2009年全国中考真题专题汇编专题二 物质的鉴别、鉴定、推断 题型:单选题

(09漳州)小明为了区别氢氧化钠溶液和澄清石灰水,设计了下列实验方案,其中能达到目的的是(  )

查看答案和解析>>

科目: 来源:2009年全国中考真题专题汇编专题二 物质的鉴别、鉴定、推断 题型:单选题

(09厦门)下列实验方案错误的是( )

A.从海水中获得少量饮用水,可采用蒸馏的方法
B.从氯化钠溶液中获得氯化钠晶体,可采用直接过滤的方法
C.除去氯化钠溶液中的少量碳酸钠,可加入适量稀盐酸
D.检验某井水是否为硬水,可使用肥皂水

查看答案和解析>>

科目: 来源:2009年全国中考真题专题汇编专题二 物质的鉴别、鉴定、推断 题型:单选题

(09台州)下列物质鉴别过程,主要涉及物理变化的是( )

A.用带火星的木条鉴别空气和O2
B.用澄清石灰水鉴别CO2和CO
C.用闻气味法鉴别酒精和白醋
D.用点燃法鉴别棉纤维和羊毛

查看答案和解析>>

科目: 来源:2009年全国中考真题专题汇编专题二 物质的鉴别、鉴定、推断 题型:单选题

(09湘潭)区分下列常见的各组物质时,所用方法不可行的是

A.硬水和软水——加肥皂水
B.食盐和纯碱——滴加食醋
C.天然气和一氧化碳——点燃后观察火焰颜色
D.稀盐酸和澄清石灰水——紫色石蕊试液

查看答案和解析>>

科目: 来源:2009年全国中考真题专题汇编专题二 物质的鉴别、鉴定、推断 题型:单选题

(09贺州)下列叙述错误的是(     )

A.用燃烧的方法区别羊毛和涤沦
B.用肥皂水区别硬水和软水
C.用观察外观的方法区别黄金和假黄金(铜锌合金)
D.用燃着的木条区别空气、氧气和氮气

查看答案和解析>>

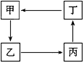
科目: 来源:2010年全国中考真题专题汇编专题二 物质的鉴别、鉴定、推断(一) 题型:单选题

(10咸宁11).甲、乙、丙、丁四种物质有如图所示的转化关系(部分反应物和生成物已略去),则甲、乙、丙、丁依次是

A.C、CO、CO2、H2CO3           
B.CO、CO2、C、H2CO3
C.CaO、Ca(OH)2、CaCl2、CaCO3    
D.CaCO3、Ca(OH)2、CaCl2、CaO

查看答案和解析>>

科目: 来源:2010年全国中考真题专题汇编专题二 物质的鉴别、鉴定、推断(一) 题型:单选题

(10张家界13)、现有一瓶蒸馏水和一瓶稀盐酸,能将它们区别开来的试剂是(  )

A.石蕊溶液B.氯化钡溶液C.酚酞溶液D.氢氧化钠溶液

查看答案和解析>>

科目: 来源:2010年全国中考真题专题汇编专题二 物质的鉴别、鉴定、推断(一) 题型:单选题

(10广安15).只用一种试剂将NaOH、Ca(OH)2、H2SO4三种无色溶液一次性区别开,这种试剂是

A.酚酞试液B.Na2CO3溶液C.BaCl2溶液D.CO2

查看答案和解析>>

科目: 来源:2010年全国中考真题专题汇编专题二 物质的鉴别、鉴定、推断(一) 题型:单选题

(10广安9).物质的性质决定物质的用途,下列说法不正确的是

A.氧气可用于金属切割,因为氧气能支持燃烧
B.洗涤剂常用来洗涤油污,因为洗涤剂有乳化功能
C.“银粉漆”(铝粉)可涂在铁栏杆上防锈,因为铝的化学性质稳定
D.熟石灰可用来改良酸性土壤,因为熟石灰显碱性

查看答案和解析>>

同步练习册答案