相关习题
 0  63468  63476  63482  63486  63492  63494  63498  63504  63506  63512  63518  63522  63524  63528  63534  63536  63542  63546  63548  63552  63554  63558  63560  63562  63563  63564  63566  63567  63568  63570  63572  63576  63578  63582  63584  63588  63594  63596  63602  63606  63608  63612  63618  63624  63626  63632  63636  63638  63644  63648  63654  63662  211419 

科目: 来源:2012-2013学年江西省南昌市十四校九年级(下)第四次联考化学试卷(解析版) 题型:选择题

下列四种金属中,有一种金属的盐溶液与其他的三种金属都能发生置换反应,这种金属是( )
A.铜
B.锌
C.铁
D.镁

查看答案和解析>>

科目: 来源:2012-2013学年江西省南昌市十四校九年级(下)第四次联考化学试卷(解析版) 题型:选择题

在一定条件下,一个密闭的容器内发生某反应,测得反应过程中各物质的质量部分数据如下表所示,对表中未知数计算正确的是( )
物质abcd
反应前的质量/g2020
反应一段时间后的质量/g1246
反应后的质量/g

A.①为22g
B.②为8g
C.③为12g
D.④为22.5g

查看答案和解析>>

科目: 来源:2012-2013学年江西省南昌市十四校九年级(下)第四次联考化学试卷(解析版) 题型:选择题

下列所示的图象能反映相对应实验的是( )

A.向pH=13的NaOH溶液中不断加水稀释
B.向碳酸氢钠溶液中逐滴加入稀盐酸至过量
C.将60℃接近饱和的硝酸钾溶液恒温蒸发水分至有白色晶体析出
D.将足量的金属镁片和锌片分别和等质量、相同质量分数的稀硫酸混合

查看答案和解析>>

科目: 来源:2012-2013学年江西省南昌市十四校九年级(下)第四次联考化学试卷(解析版) 题型:填空题

化学用语是学习化学的重要工具,是国际通用的化学语言.请用恰当的化学用语填空:
(1)锌元素                        
(2)3个铵根离子   
(3)氧化铝中铝元素的化合价为+3价   
(4)天然气的主要成分   

查看答案和解析>>

科目: 来源:2012-2013学年江西省南昌市十四校九年级(下)第四次联考化学试卷(解析版) 题型:填空题

(“化学究竟是什么,化学就是你,化学究竟是什么,化学就是我,化学究竟为什么,化学为了你…”.一首神曲唱出了化学对人类的贡献.在日常生活中化学无处不在.
(1)糖类能为人体的生命活动提供能量.葡萄糖是糖类的一种,它在人体内发生的反应是:C6H12O6+6O2=6CO2+6X,则X的化学式为   
(2)中考临近,妈妈给小明制定了以下食谱,其中还缺乏一种人体必须的营养素,为此请你补充一种食物:   
主食米饭、馒头
副食烧鱼块、咸鸭蛋、红烧肉、花生米
饮料牛奶
(3)实验室中装有氢氧化钠溶液的试剂瓶不能用玻璃塞,原因是在常温下,NaOH与玻璃塞中的SiO2缓慢地发生反应生成Na2SiO3和H2O.Na2SiO3使瓶口与瓶塞粘合在一起而无法使用.该反应的化学方程式为   

查看答案和解析>>

科目: 来源:2012-2013学年江西省南昌市十四校九年级(下)第四次联考化学试卷(解析版) 题型:填空题

海水晒盐得到的粗盐中常含有MgCl2、CaCl2等杂质,工业提纯粗盐的过程如图所示:
(1)步骤①反应的化学方程式为   
(2)步骤③中操作a的名称是    ;步骤④加入适量盐酸的目的是除去滤液中的Na2CO3   
(3)蒸发精盐水到    即停止加热,然后继续搅拌得到精盐.
(4)若步骤①和步骤②的顺序颠倒,则最后所得的精盐水中还含有   

查看答案和解析>>

科目: 来源:2012-2013学年江西省南昌市十四校九年级(下)第四次联考化学试卷(解析版) 题型:解答题

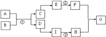
A~I都是初中化学常见物质,已知,D是应用最广泛的金属,E是建筑材料的主要成分,H是实验室最常用的溶剂,它们的转化关系如图所示,请回答:

(1)G物质的化学式是______,物质C的一种用途______;
(2)反应①的化学方程式为______ 2Fe+3CO2

查看答案和解析>>

科目: 来源:2012-2013学年江西省南昌市十四校九年级(下)第四次联考化学试卷(解析版) 题型:解答题

根据下列所给的实验装置回答有关问题

回答下列问题:
(1)甲装置中a仪器的名称是______.使用a仪器有很多注意事项,请任意写出一点来______.
(2)选用图己装置收集气体时,当看到______,说明已经收集满.
(3)①小明在实验操作考查中抽到的考题是“在实验室制取二氧化碳,用排空气法收集一满瓶二氧化碳,放置在实验桌上.”为完成实验,他应选用上列装置中的______(填装置序号).检验集气瓶是否收集满二氧化碳的方法是______.
②经过学习小明对气体制备有一些心得,如:选择制取气体的反应装置时应考虑的两个因素是______,______.
(4)现要制取一瓶二氧化氮气体,小明收集到如下资料.
①制取NO2的反应原理:Cu+4HNO3(浓)=Cu(NO32+2NO2↑+2H2O
②通常状况下,NO2是一种密度比空气大有毒气体,能与水发生反应.
③NO2能与可溶性碱反应生成盐和水.
结合已掌握的知识,选择以上装置制备一瓶二氧化氮气体,从左到右的连接顺序为______(填接口序号).

查看答案和解析>>

科目: 来源:2012-2013学年江西省南昌市十四校九年级(下)第四次联考化学试卷(解析版) 题型:解答题

在实验室配制石灰水时,小明同学将两药匙熟石灰样品放入小烧杯中,向其中加入一定量的蒸馏水,充分搅拌后发现烧杯底部仍有不溶性的固体,于是他认为熟石灰样品已经变质.小艳同学不同意他的判断,你认为小艳同学的理由是______.针对该熟石灰样品的成分同学们展开了讨论,请你参与讨论并完成实验报告.
【提出问题】熟石灰样品的主要成分是什么?
【作出猜想】甲同学猜想是Ca(OH)2;乙同学猜想是CaCO3;你认为是______.
【实验与结论】请你通过实验验证你的猜想:
实验步骤实验现象实验结论
取少量的熟石灰样品于烧杯中,加适量的水充分溶解后过滤;
向滤液中加入适量______溶液;
向滤出固体中加入适量______.
______;
______.
猜想正确

查看答案和解析>>

科目: 来源:2012-2013学年江西省南昌市十四校九年级(下)第四次联考化学试卷(解析版) 题型:解答题

现有氧化铜和铜的混合物,对其成分进行分析.取10g此样品,向其中分五次加入相同溶质质量分数的稀硫酸,使之充分反应.每次所用稀硫酸的质量及剩余固体的质量记录于下表:(反应的化学方程式:CuO+H2SO4═CuSO4+H2O)
第一次第二次第三次第四次第五次
加入稀硫酸的质量/g2020202020
充分反应后剩余固体质量/g8643m
试回答下列问题:
(1)上述表格中m的值为______.
(2)计算所加入稀硫酸中溶质的质量分数?
(3)计算第三次加稀硫酸反应后所得溶液中溶质的质量分数______(精确到0.1%)

查看答案和解析>>

同步练习册答案