相关习题
0 64650 64658 64664 64668 64674 64676 64680 64686 64688 64694 64700 64704 64706 64710 64716 64718 64724 64728 64730 64734 64736 64740 64742 64744 64745 64746 64748 64749 64750 64752 64754 64758 64760 64764 64766 64770 64776 64778 64784 64788 64790 64794 64800 64806 64808 64814 64818 64820 64826 64830 64836 64844 211419
科目:
来源:2011-2012学年重庆市名校联盟(七校)九年级(下)阶段性质量监测化学试卷(解析版)
题型:选择题
H2SO4和H2S中S元素化合价的代数和是( )
A.2
B.4
C.6
D.8
查看答案和解析>>
科目:
来源:2011-2012学年重庆市名校联盟(七校)九年级(下)阶段性质量监测化学试卷(解析版)
题型:选择题
关于下列几种微粒结构示意图的说法不正确的是( )

A.只有②是离子
B.①和③属同种元素
C.①和④化学性质相似
D.①属非金属元素
查看答案和解析>>
科目:
来源:2011-2012学年重庆市名校联盟(七校)九年级(下)阶段性质量监测化学试卷(解析版)
题型:选择题
煤气中添加少量有特殊臭味的乙硫醇(C
2H
5SH),可以提醒人们预防煤气泄露.乙硫醇在煤气燃烧过程中也可充分燃烧,其反应方程式为2C
2H
5SH+9O
2
4CO
2+2X+6H
2O,则X的化学式为( )
A.SO
3B.SO
2C.CO
D.H
2SO
4
查看答案和解析>>
科目:
来源:2011-2012学年重庆市名校联盟(七校)九年级(下)阶段性质量监测化学试卷(解析版)
题型:选择题
鉴别下列各组物质,试剂(括号内物质)选择错误的是( )
A.氢氧化钠溶液和澄清石灰水(CO2)
B.硬水和软水(肥皂水)
C.硝酸铵固体和氢氧化钠固体(H2O)
D.氯化钠溶液和稀盐酸(无色酚酞)
查看答案和解析>>
科目:
来源:2011-2012学年重庆市名校联盟(七校)九年级(下)阶段性质量监测化学试卷(解析版)
题型:选择题
下列实验现象与所写化学方程式吻合的是( )
A.氧气中燃烧呈蓝紫色火焰:S+O
2
SO
2B.产生大量白雾;4P+5O
2
2P
2O
5C.溶液颜色变成浅绿色:Zn+2HC1=ZnCl
2+H
2↑
D.生成白色沉淀:CuSO
4+Ba(OH)
2=Cu(OH)
2↓+BaS0
4↓
查看答案和解析>>
科目:
来源:2011-2012学年重庆市名校联盟(七校)九年级(下)阶段性质量监测化学试卷(解析版)
题型:选择题
有x、y、Z三种金属.已知用x制的容器不能盛z的盐溶液,x跟y的盐溶液不反应,则三种金属的活动顺序是( )
A.z>y>
B.x>z>y
C.y>x>z
D.y>z>
查看答案和解析>>
科目:
来源:2011-2012学年重庆市名校联盟(七校)九年级(下)阶段性质量监测化学试卷(解析版)
题型:选择题
将下列各组物质放入足量水中有化学反应发生,但无淀沉无气体生成,且溶液为无色的是( )
A.FeCl3、Na2SO4、KCl
B.Na2S04、Ba(NO3)2、HCl
C.K2SO4、H2SO4、NaOH
D.Na2CO3、H2SO4、NaCl
查看答案和解析>>
科目:
来源:2011-2012学年重庆市名校联盟(七校)九年级(下)阶段性质量监测化学试卷(解析版)
题型:选择题
Cu丝、H2O,AgNO3溶液和稀盐酸四种物质单独或相互反应,不可能涉及到的基本反应类型是( )
A.分解反应
B.化合反应
C.置换反应
D.复分解反应
查看答案和解析>>
科目:
来源:2011-2012学年重庆市名校联盟(七校)九年级(下)阶段性质量监测化学试卷(解析版)
题型:选择题
如图是A、B、C三种物质的溶解度曲线,下列有关说法错误的是( )

A.C的溶解度随温度的升高而减小
B.A的饱和溶液从t
2℃降到t
1℃时变为不饱和溶液
C.在t
2℃时.A的溶解度等于B的溶解度
D.当A中含有少量B时,可用降温结晶法提纯
查看答案和解析>>
科目:
来源:2011-2012学年重庆市名校联盟(七校)九年级(下)阶段性质量监测化学试卷(解析版)
题型:选择题
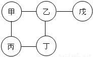
用铁、氧化铜、稀硫酸、氢氧化钠溶液和硫酸铜溶液五种物质,构成了如图所示的关系网络(图中的“-”表示相连的两种物质能发生反应).下列有关说法不正确的是( )

A.甲物质可能为氢氧化钠溶液
B.戊物质一定是氧化铜
C.丙和丁的反应一定是置换反应
D.乙物质可以使紫色石蕊溶液变红
查看答案和解析>>