相关习题
 0  73099  73107  73113  73117  73123  73125  73129  73135  73137  73143  73149  73153  73155  73159  73165  73167  73173  73177  73179  73183  73185  73189  73191  73193  73194  73195  73197  73198  73199  73201  73203  73207  73209  73213  73215  73219  73225  73227  73233  73237  73239  73243  73249  73255  73257  73263  73267  73269  73275  73279  73285  73293  211419 

科目: 来源:2011-2012学年山东省聊城市东阿县黄屯中学九年级(上)期末化学试卷(8)(解析版) 题型:填空题

化学是一门基础的自然学科,在人们的日常生活、工农业生产以及科技领域都蕴涵着许多化学知识.请填空:
(1)北京奥运会使用了大量物质.下图所述物质的用途中,主要利用其化学性质的是   

(2)图D用丙烷(C3H8)做“祥云”火炬的燃料,这种燃料符合“绿色奥运”的理念,其原因是   
(3)氢能是理想的清洁能源.科学家正研究在使用催化剂和光照条件下将水分解得到氢气的方法,该化学方程式为   
(4)2008年9月25日,“长征二号F”运载火箭发射“神舟七号”载人飞船升空.该运载火箭所用燃料是偏二甲肼(C2H8N2),助燃剂是四氧化二氮(N2O4).请完成该反应的化学方程式:C2H8N2+2N2O44H2O+2CO2↑+3   
(5)为了改善我市的空气质量,2008年10月北京市政府推出了机动车按尾号每周停驶一天的举措.这项措施的目的主要是为了减少(填序号)    等有害物质对大气的污染.
A.一氧化碳      B.氮氧化物    C. 可吸入颗粒物    D. 二氧化碳.

查看答案和解析>>

科目: 来源:2011-2012学年山东省聊城市东阿县黄屯中学九年级(上)期末化学试卷(8)(解析版) 题型:填空题

我国北方有许多盐湖,湖水中溶有大量的Na2CO3和NaCl,那里的人们冬天捞碱(Na2CO3),夏天晒盐(NaCl).Na2CO3和NaCl的溶解度曲线如图所示.据图回答下列问题:
(1)t1℃时,溶解度较大的物质是   
(2)t1℃时把10g Na2CO3固体放入100g水中,充分溶解后,可制得    的碳酸钠溶液(填“饱和”或“不饱和”).
(3)人们冬天捞碱的原因是    (4)将75克20%的NaCl溶液稀释成15%的NaCl溶液,需要加水    mL(水的密度为1g/cm3).在用量筒量取水的体积时,如采用图所示的方法读取数据(其它操作均正确),则所得溶液中溶质的质量分数    15%(选填“<”、“>”或“=”). 

查看答案和解析>>

科目: 来源:2011-2012学年山东省聊城市东阿县黄屯中学九年级(上)期末化学试卷(8)(解析版) 题型:填空题

小军同学在开展研究性学习时,做了一个有关物质溶解和物质发生化学反应过程中能量变化的探究实验,装置如下图所示.小试管A、B中分别盛有两种不同的无色液体,U型管内均为滴有红墨水的水.

(1)若试管A中的无色液体是稀硫酸,向A试管中加入镁条,看到试管中产生大量无色气泡,且U型管a、b两端液面的变化是:a端液面    ,产生此现象的原因是   
(2)若试管B中的无色液体是水,向试管B中加入一种固体,且U型管的a、b两端液面的变化与(1)相同,则所加固体可能是(填下列序号)   
A.冰    B.氧化钙    C.氢氧化钠    D.硝酸铵     E.干冰
(3)通过该探究实验,我们可以知道物质溶解有吸热或放热现象,同时还可以得到的结论是   

查看答案和解析>>

科目: 来源:2011-2012学年山东省聊城市东阿县黄屯中学九年级(上)期末化学试卷(8)(解析版) 题型:填空题

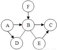
A、B、C、D、E、F是初中化学常见的六种物质,它们之间的转化关系如下图所示(图中“→”表示物质间存在转化关系,“-”表示两端的物质能发生反应,图中已略去部分物质),其中A、B、D由两种元素组成,C、E由三种元素组成,F是维持生命活动的气体单质.
(1)F物质的化学式为    ;E物质的俗称为   
(2)写出下列反应的化学方程式:
B→C:    ;B和D的反应:   
(3)A是由    两种元素组成.

查看答案和解析>>

科目: 来源:2011-2012学年山东省聊城市东阿县黄屯中学九年级(上)期末化学试卷(8)(解析版) 题型:填空题

下图所示为实验室常用的实验装置,据此回答下列问题:

(1)写出标号①所示仪器的名称   
(2)实验室用加热高锰酸钾的方法制取氧气的发生装置为    (填序号,下同);实验室用过氧化氢制取氧气的发生装置为    ,化学方程式为   
(3)若从高锰酸钾制取O2后的固体残渣中回收二氧化锰(固体中只有MnO2不溶于水),可通过以下四步实验进行回收,则正确的操作顺序是    (填序号).a.烘干    b.溶解   c.过滤         d.洗涤
(4)实验室用B装置制取二氧化碳的化学方程式为    ,氧气和二氧化碳都可以用    装置来收集.D装置可以用来测量生成的二氧化碳的体积,其中在水面上放一层植物油的主要目的是(填序号)   
①防止二氧化碳溶于水    ②防止水分蒸发    ③防止二氧化碳与水反应.

查看答案和解析>>

科目: 来源:2011-2012学年山东省聊城市东阿县黄屯中学九年级(上)期末化学试卷(8)(解析版) 题型:填空题

在研究二氧化碳的性质时,老师做了如图1所示实验,该实验说明二氧化碳具有    的性质
(1)小聪和小明受到老师的启发,设计了如图2的家庭小实验,并推测了实验现象.两位同学都认为蜡烛会熄灭,因为    .但对图2中“两支蜡烛哪支先熄灭?”的问题却有不同的看法,小明认为低的蜡烛先熄灭,理由是    ;小聪认为    蜡烛先熄灭,理由是蜡烛燃烧使高处的氧气量减少并耗尽,同时放出的热使CO2向上扩散,浓度增大.
(2)通过实验,证明小聪的看法是正确的.由上述实验得到启发:从意外失火的高楼中逃生的正确方法是    (填序号).
①用毛巾捂住口鼻    ②低头弯腰沿墙迅速移向门外    ③打开窗户跳出.

查看答案和解析>>

科目: 来源:2011-2012学年山东省聊城市东阿县黄屯中学九年级(上)期末化学试卷(8)(解析版) 题型:解答题

长途运输鱼苗时,人们常在水中加入少量过氧化钙(CaO2)固体.小明同学发现往水中投放过氧化钙时产生气泡.
【提出问题】产生的气体是什么呢?
【猜想假设】小明同学与本组同学讨论后认为可能是氧气.
【设计实验】为研究反应后生成何种气体,小明使用如右图甲所示的装置进行实验,打开装置中分液漏斗的活塞,控制滴加水的速度,观察到管内有气泡产生,用带火星的木条靠近P处,木条复燃,说明生成的气体是______,假设成立.由此可知运输鱼苗时,在水中加入过氧化钙的主要目的是______.
【实验反思】根据质量守恒定律,小明认为过氧化钙与过量水反应,还应产生某种含有钙元素的产物.开始小明假设该产物为CaO,但通过思考他很快否定了原先的假设,并重新假设生成的含钙化合物为Ca(OH)2.请解释小明否定原假设,建立新假设的理由______.请设计一个实验方案来验证小明的新假设,并填入下表空格中:
 实验步骤实验现象 结论 
  过氧化钙与水反应,有Ca(OH)2生成 
经实验证明,过氧化钙与水反应,只生成上述两种产物,则该反应的化学方程式为______.

查看答案和解析>>

科目: 来源:2011-2012学年山东省聊城市东阿县黄屯中学九年级(上)期末化学试卷(8)(解析版) 题型:解答题

2008年9月,我国爆发三鹿婴幼儿奶粉受污染事件,其原因是奶粉中含有大量的三聚氰胺,其化学式为C3H6N6.不法商贩向奶粉中添加三聚氰胺的目的是增加奶粉中氮元素的含量,进而貌似提高蛋白质的含量.依据相关信息回答:
(1)三聚氰胺中碳、氢两种元素的质量比是______;所含氮元素的质量分数是______.
(2)若某品牌奶粉每袋中添加了1.26g三聚氰铵,则相当于向该袋奶粉中增加了多少克蛋白质?(蛋白质中含氮量平均为16%.)______.

查看答案和解析>>

科目: 来源:2011-2012学年山东省聊城市东阿县黄屯中学九年级(上)期末化学试卷(8)(解析版) 题型:解答题

次氯酸钠(NaClO)是一种高效、广谱、安全的消毒液,其制取原理是氯化钠溶液在通电条件下发生如下反应:NaCl+H2ONaClO+H2↑,若要电解11.7%的氯化钠溶液500g,,则生成次氯酸钠(NaClO)多少克?所得次氯酸钠溶液的溶质质量分数是多少?(写出计算过程.)

查看答案和解析>>

科目: 来源:2010-2011学年福建省宁德市福鼎二中九年级(上)期中化学试卷(解析版) 题型:选择题

广告词“儿童厌食,补锌是关键…”.这里的“锌”指的是( )
A.分子
B.原子
C.元素
D.单质

查看答案和解析>>

同步练习册答案