相关习题
 0  74720  74728  74734  74738  74744  74746  74750  74756  74758  74764  74770  74774  74776  74780  74786  74788  74794  74798  74800  74804  74806  74810  74812  74814  74815  74816  74818  74819  74820  74822  74824  74828  74830  74834  74836  74840  74846  74848  74854  74858  74860  74864  74870  74876  74878  74884  74888  74890  74896  74900  74906  74914  211419 

科目: 来源:2011-2012学年北京市昌平区九年级(上)期末化学试卷(解析版) 题型:选择题

根据图所示实验分析得出的结论中,不正确的是( )
A.白磷的着火点比红磷的低
B.证明分子是在不断运动的
C.二氧化碳能溶于水且与水发生了化学反应
D.二氧化碳的密度比空气大,不燃烧也不支持燃烧

查看答案和解析>>

科目: 来源:2011-2012学年北京市昌平区九年级(上)期末化学试卷(解析版) 题型:选择题

如图是钠与氯气(Cl2)反应生成氯化钠的模拟图.从图示可知下列说法不正确的是( )
A.反应中钠原子转移一个电子给氯原子
B.反应中氯气分子分成氯原子
C.核外电子在化学反应中起着重要作用
D.氯化钠由氯化钠分子构成

查看答案和解析>>

科目: 来源:2011-2012学年北京市昌平区九年级(上)期末化学试卷(解析版) 题型:选择题

下列4个坐标图分别示意实验过程中某些量的变化,其中正确的是( )
A.向一定量的石灰水中通入二氧化碳
B.在某一密闭装置内点燃红磷
C.加热一定量高锰酸钾和二氧化锰的混合物
D.向一定量石灰石中滴加稀盐酸

查看答案和解析>>

科目: 来源:2011-2012学年北京市昌平区九年级(上)期末化学试卷(解析版) 题型:填空题

水是重要的自然资源.

(1)“生命吸管”(如图A)是一种可以随身携带的小型水净化器,里面装有网丝、注入了活性炭和碘的树脂等.其中活性炭起到    和过滤的作用;此净水器净化后的水是    (填“纯净物”或“混合物”).
(2)图B实验电解一定量的水,写出水电解的化学反应方程式    ,当其中一个电极产生5mL气体时,另一电极产生的气体体积可能是    mL.
(3)节约用水是每个公民的义务,下列用水方式应该提倡的是    (填字母序号).
A.用漱口杯接水刷牙             B.不间断地边流水边洗衣
C.用淘米水、洗菜水浇花、冲厕所 D.用喷灌、滴灌的方法浇灌农田和园林.

查看答案和解析>>

科目: 来源:2011-2012学年北京市昌平区九年级(上)期末化学试卷(解析版) 题型:填空题

KNO3、NaCl溶液在生产、生活中起着十分重要的作用.如图是它们的溶解度曲线,下表是它们在不同温度时的溶解度.
温度/℃102030405060
KNO313.320.931.645.863.985.5110
NaCl35.735.836.036.336.637.037.8
(1)以上两种物质溶解度的变化受温度影响较小的是   
(2)硝酸钾溶液中的溶质是   
(3)30℃时,KNO3的溶解度是    g.
(4)农业生产常用溶质的质量分数为10%~20%的NaCl溶液来选种.完成此溶液的配制正确的操作顺序是(填序号)   
①溶解 ②称量 ③计算 ④量取
(5)某同学做了如下两个实验.
实验1:20℃时,100g水
实验2:20℃时,100g水
判断a~f对应的溶液中,为饱和溶液的是   
由实验1、2可知,使不饱和溶液转化为饱和溶液的方法有   

查看答案和解析>>

科目: 来源:2011-2012学年北京市昌平区九年级(上)期末化学试卷(解析版) 题型:填空题

化学是在分子、原子水平上研究物质的组成、结构、性质和变化规律的科学.
下图为某化学反应的微观模拟示意图: 表示氮原子,表示氢原子.请你根据图示回答下列问题:

(1)丙的化学式是    ,一个丙分子是由    构成的.
(2)甲和乙在一定条件下反应生成丙,写出反应的化学方程式    ;此反应所属的基本反应类型是   
(3)依据图示从微观角度解释此化学变化的实质是   

查看答案和解析>>

科目: 来源:2011-2012学年北京市昌平区九年级(上)期末化学试卷(解析版) 题型:填空题

2011年9月29日,“长征二号F”T1运载火箭,将中国全新研制的首个目标飞行器“天宫一号”发射升空,为在太空建立中国空间站打下基础.
(1)在对太空的探索过程中,科学家发现月球表面陨石坑中存在Hg、CH4、固态H2O等物质,其中属于氧化物的是    (填化学式).
(2)火箭用联氨(N2H4)做燃料,用四氧化二氮(N2O4)助燃,生成物不会对大气造成污染.
①完成燃烧反应的化学方程式:2N2H4+N2O4=3    +4H2O.
②通过此反应谈谈你对燃烧有什么新的认识?   
(3)载人航天飞行器的模拟座中,空气更新过程如下图所示.
①装置Ⅰ的作用是   
②在装置Ⅰ、Ⅱ、Ⅲ中发生化学变化的是    (填序号).
③从装置Ⅰ、Ⅱ、Ⅲ可看出,O2的来源是CO2和H2O,若产生800g O2,消耗880g CO2,则同时消耗H2O    g.

查看答案和解析>>

科目: 来源:2011-2012学年北京市昌平区九年级(上)期末化学试卷(解析版) 题型:填空题

下列字母表示的是初中化学常见物质.
(1)若溶液A在催化剂的作用下能生成B和C两种物质,B在通电条件下可以生成C和D,B、C、D之间存在着一定的转化关系.写出A生成B和C的化学方程式    ,C和D生成B的化学方程式   
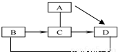
(2)若A、B、C、D之间的关系如图所示.(图中“-”表示两端的物质能发生化学反应,“→”表示物质间存在转化关系,部分反应物、生成物及反应条件均已略去)

A~D均含一种相同元素,且A、B、D均为氧化物,C是空气中的主要成分之一,则A与C反应的化学方程式是   
(3)下图所示实验中,将分液漏斗的活塞打开,使适量水流入锥形瓶中,实验后N溶液变浑浊,相关的化学反应方程式是    .试管②中的现象是    .由此推断:实验开始时,锥形瓶内放入的固体物质E可能是   

查看答案和解析>>

科目: 来源:2011-2012学年北京市昌平区九年级(上)期末化学试卷(解析版) 题型:填空题

根据下图所给的装置,回答问题.

(1)实验仪器a的名称是   
(2)实验室用高锰酸钾制取氧气的化学方程式是    .用排水法收集氧气涉及以下关键步骤:①连接仪器;②装药固定;③检查气密性;④加热;⑤熄灭酒精灯;⑥从水槽中撤出导气管;⑦收集.正确的顺序是    (填字母序号).
A.②①③④⑤⑥⑦B.①③②④⑦⑤⑥C.①③②④⑦⑥⑤D.③②①④⑦⑥⑤
(3)用大理石和稀盐酸制取二氧化碳,选用的发生装置是    (填字母序号).收集一瓶二氧化碳,将燃着的木条放在瓶口,若观察到    ,说明瓶中已充满二氧化碳.
(4)如果用装置F收集氧气,气体应从    口进(填“b”或“c”).

查看答案和解析>>

科目: 来源:2011-2012学年北京市昌平区九年级(上)期末化学试卷(解析版) 题型:填空题

化学是一门以实验为基础的自然科学,下图所示实验是我们所熟悉的.

(1)图甲所示实验用于测定空气中氧气的体积分数.红磷在空气中燃烧的化学方程式是    .关于该实验的下列说法中,正确的是    (填字母序号).
A.实验时红磷一定要足量                B.点燃红磷前先用弹簧夹夹紧乳胶管
C.红磷熄灭后立刻打开弹簧夹            D.最终进入瓶中水的体积约为氧气的体积
E.该实验必须检查装置的气密性
(2)同学们用乙所示实验探究化学反应前后物质的质量关系.如果a、b分别是铁钉和硫酸铜溶液,与分别是锌和稀盐酸(已知:Fe+CuSO4═FeSO4+Cu  Zn+2HCl═ZnCl2+H2↑),测定结果不同的原因是   
(3)如图丙所示,某化学课外小组将紫色石蕊试液浸泡并晾干的紫色纸人,进行以下实验:
①左右两袖分别用毛笔涂上稀醋酸和稀盐酸,可观察到两袖均变红色;
②将“c”裤腿涂上蒸馏水;
③将纸人放入盛有干燥二氧化碳气体的集气瓶中;
④将纸人取出用热宝加热.
回答下列问题:
Ⅰ.解释步骤③中“c”裤腿呈红色的原因    (用化学方程式表示).
Ⅱ.步骤④中未看到两袖有明显变化,你认为其他部位可能观察到的现象及原因是   

查看答案和解析>>

同步练习册答案