相关习题
 0  79309  79317  79323  79327  79333  79335  79339  79345  79347  79353  79359  79363  79365  79369  79375  79377  79383  79387  79389  79393  79395  79399  79401  79403  79404  79405  79407  79408  79409  79411  79413  79417  79419  79423  79425  79429  79435  79437  79443  79447  79449  79453  79459  79465  79467  79473  79477  79479  79485  79489  79495  79503  211419 

科目: 来源:2013年北京市朝阳区中考化学二模试卷(解析版) 题型:选择题

实验室制取氧气时,在试管中加热一定量高锰酸钾固体,随着反应的发生,纵坐标表示的是( )
A.氧气的质量
B.固体物质的质量
C.高锰酸钾的质量
D.锰元素的质量分数

查看答案和解析>>

科目: 来源:2013年北京市朝阳区中考化学二模试卷(解析版) 题型:填空题

厨房中的“锅碗瓢盆”和“柴米油盐酱醋茶”包含着许多化学知识.
(1)下列属于有机合成材料的是    (填字母,下同).

(2)使用煤气时,常加入有特殊气味的物质--乙硫醇,若厨房中闻到浓烈的特殊气味,下列应急措施可行的是   
A.轻轻打开门窗通风
B.关闭气源阀门,防止气体泄漏
C.立即打开抽油烟机,将泄漏的气体排出
(3)膨化食品常采用充气包装,充入的气体可能是    ;大米、面粉中的主要营养素是    ;食醋(CH3COOH)有扩张血管、抗衰老和杀菌等作用,常用酒精与空气中的O2在酶的作用下反应而得到,同时生成另一种液体,该反应的化学方程式为   
(4)味精在pH为6~7时鲜味最强,其水溶液经120℃以上长时间加热,鲜味消失,生成对人体有害的焦谷氨酸钠.下列说法不正确的是   
A.化学实验是研究问题的一种有效方法
B.味精应避免在酸性或碱性较强的条件下使用
C.味精在加热条件下生成焦谷氨酸钠是物理变化
D.菜炒熟后放味精比炒菜过程中加入更有利于健康.

查看答案和解析>>

科目: 来源:2013年北京市朝阳区中考化学二模试卷(解析版) 题型:填空题

水在化学实验中其重要作用.
(1)请根据以下实验回答问题:
①从微观角度分析,图甲中实验Ⅰ和实验Ⅱ的本质区别是    .由实验Ⅱ可以得出水是由    组成的.
②一段时间后观察实验乙:B中铁丝依然光亮,C中铁丝表面灰暗,D中铁丝依然光亮.B、C对比说明铁生锈主要与    有关;C、D对比说明铁生锈的快慢与    有关.
(2)如图丙1是a、b两物质在水中的溶解度曲线,请根据图回答:
①a的溶解度小于b的溶解度的温度范围是   
②如图丙2所示,试管1、2中分别盛有20℃时等质量的a、b饱和溶液,底部有等质量的a、b固体剩余,向烧杯的水中加入冰块,下列判断正确的是    (不考虑溶剂的蒸发,析出的固体不含水)
A.试管2底部的固体减少
B.a溶液由饱和溶液变成不饱和溶液
C.a溶液中溶剂质量等于b溶液中溶剂质量
D.变化后b溶液中溶质质量分数大于a溶液中溶质质量分数.

查看答案和解析>>

科目: 来源:2013年北京市朝阳区中考化学二模试卷(解析版) 题型:填空题

在宏观、微观和符号之间建立联系是化学学科的特点.

(1)对图的理解不正确的是   
A.原子可以构成物质
B.分子可以构成物质
C.反应前后元素种类不变
D.反应前后各元素化合价不变
(2)果糖(C6H12O6)大量存在于水果中,它是由    种元素组成,其中碳、氢元素的质量比为   
(3)A、B、C、D表示4种物质,部分物质分子的微观示意图如图所示.
物质BCD
微观
A和B可发生如下反应:A+3B2C+3D.则A的化学式为    ,A、B、C、D中属于氧化物的是    (填字母).

查看答案和解析>>

科目: 来源:2013年北京市朝阳区中考化学二模试卷(解析版) 题型:填空题

金属在生产和生活中有广泛的应用.
(1)钢铁可以制成炒锅,主要利用了铁的延展性和    性.
(2)下列关于金属的说法正确的是   
A.常温下金属均为固态
B.在铁制品表面刷漆防止铁锈蚀
C.铜是目前世界年产量最高的金属
D.金属与酸反应后溶液质量一定增加
E.铝表面易生成致密的氧化膜,因此铝有良好的抗腐蚀性
(3)某电镀厂为减少水污染及节约成本,从含有CuSO4、ZnSO4、FeSO4的废水中回收硫酸锌和有关金属,实验过程如下:

①步骤Ⅰ中加入过量M的目的是    ,写出该步骤中反应的化学方程式   
②步骤Ⅲ的操作为   

查看答案和解析>>

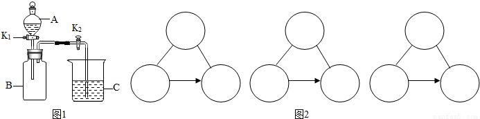
科目: 来源:2013年北京市朝阳区中考化学二模试卷(解析版) 题型:填空题

以下为初中化学常见物质,由H、C、O、S、Na、Ca、Fe等元素组成.
(1)同学们利用如图1做了如下实验(A、B、C中盛放有不同的药品):
[实验1]若将红棕色固体放入B中,打开K1、K2,将A中液体加入B中,关闭K1,观察到B中溶液变为黄色,一段时间后,盛水的C中导管口有大量气泡冒出,B中溶液变为浅绿色,则B中盛放的物质为    ,A中液体为   
[实验2]若B中集满某纯净气体,打开K1、K2,将A中液体加入B中,关闭K1、K2,充分反应后,打开K2,观察到C中液体进入B中且变浑浊,则B中发生反应的化学方程式为   
(2)上述实验,向A、B、C中所加的物质之间存在一定的关系,如图2所示,且每组图中的三种物质属于不同类别,将其化学式填入图(“-”表示两端的物质能发生化学反应,“→”表示物质间存在转化关系).

查看答案和解析>>

科目: 来源:2013年北京市朝阳区中考化学二模试卷(解析版) 题型:填空题

根据图回答问题:

(l)图中a的仪器名称   
(2)用高锰酸钾制取氧气的化学方程式为    ,收集氧气所选用的装置是    (填字母,下同).
(3)用大理石和稀盐酸制取二氧化碳时,所选用的发生装置是    ,反应的化学方程式为   
(4)如图F所示装置有多种用途,下列说法正确的是   
A.除去氧气中的水蒸气--瓶内盛放浓硫酸
B.检验二氧化碳气体--瓶内盛放氢氧化钠溶液
C.用排空气法收集氢气--气体从装置的b端通入
D.用排水法收集氧气--瓶内先装满水,气体从b端通入.

查看答案和解析>>

科目: 来源:2013年北京市朝阳区中考化学二模试卷(解析版) 题型:填空题

现有失去标签的5种无色溶液,分别是Na2CO3、NaCl、Ca(OH)2、NaOH和稀盐酸,任取其中的4种贴上A、B、C、D标签,进行如下实验.  
(1)依据如图装置进行实验,其中夹持固定装置已略去.从长颈漏斗加入稀盐酸,可以观察到C溶液中有气泡产生,A溶液中有白色沉淀生成,B、D溶液均无明显变化.则C溶液与稀盐酸反应的化学方程式为    ;A溶液中发生反应的化学方程式为   
(2)取少量B溶液倒入蒸发皿,加热,闻到有刺激性气味,停止加热.再取少量D溶液倒入另一蒸发皿,加热,有白色固体析出,停止加热.则B是   
(3)同学们认为实验(1)反应后的D溶液中溶质的成分有多种可能,请你设计实验方案证明   

查看答案和解析>>

科目: 来源:2013年北京市朝阳区中考化学二模试卷(解析版) 题型:填空题

化学小组用生石灰制取氢氧化钠固体,他们将生石灰放入烧杯中,加入碳酸钠溶液,充分反应后冷却、过滤、洗涤得到固体A和溶液B.请完成以下探究.
[查阅资料]NaOH、Ca(OH)2的溶解度
温度(℃)20406080100
NaOH溶解度(g)42109129174314347
Ca(OH)2溶解度(g)0.180.160.140.120.090.07
(1)固体A中的成分是什么?
[猜想与假设]
甲同学:         
乙同学:CaCO3,Ca(OH)2
乙同学猜想可能含有的Ca(OH)2理由是   
[实验与探究]甲、乙同学为了验证各自的猜想,分别进行了实验:
实验内容实验现象实验结论
甲同学:取少量固体于试管中,再加入稀盐酸.有气泡产生自己的猜想正确
乙同学:取少量固体于试管中,加水充分振荡,过滤,向滤液中滴加    溶液由无色变为红色自己的猜想正确
[反思与评价]小组同学讨论后认为,甲同学的实验不能证明固体A的成分,理由是   
结合甲、乙两同学的实验能证明乙同学的猜想正确,因此确定了固体A的成分.
(2)溶液B中溶质的成分是什么?
[猜想与假设]丙同学:NaOH、Na2CO3   丁同学:NaOH、Ca(OH)2戊同学:NaOH
[表达与交流]
①结合对固体成分的探究,同学们经过讨论确定了丁同学猜想正确,理由是   
②同学们欲将溶液B加热浓缩,加热不久,溶液出现浑浊,只好停止加热,请解释加热时溶液出现浑浊的原因   
③同学们立即变换方案,向B溶液中加入    ,过滤,将滤液加热浓缩至饱和,    、过滤、洗涤、烘干得纯净的氢氧化钠固体.

查看答案和解析>>

科目: 来源:2013年北京市朝阳区中考化学二模试卷(解析版) 题型:解答题

北京市推进燃煤锅炉清洁改造,实施“绿色燃气”工程,管道天然气成为主要能源.燃烧32g甲烷可生成多少克二氧化碳?

查看答案和解析>>

同步练习册答案