相关习题
 0  79398  79406  79412  79416  79422  79424  79428  79434  79436  79442  79448  79452  79454  79458  79464  79466  79472  79476  79478  79482  79484  79488  79490  79492  79493  79494  79496  79497  79498  79500  79502  79506  79508  79512  79514  79518  79524  79526  79532  79536  79538  79542  79548  79554  79556  79562  79566  79568  79574  79578  79584  79592  211419 

科目: 来源:2013年江西省吉安市吉州区中考化学模拟试卷(解析版) 题型:填空题

下列各组物质能在pH=10的溶液中大量共存的是   
A.Na2CO3、KNO3、NaOH    B.NaCl、CuSO4、BaCl2
C.FeCl3、NaCl、HCl    D.KNO3、CaCl2   

查看答案和解析>>

科目: 来源:2013年江西省吉安市吉州区中考化学模拟试卷(解析版) 题型:填空题

除去下列物质中的少量杂质(括号里为少量杂质),所选用试剂(操作方法均已省略)正确的是   
选项物质(括号内物质为杂质)选用试剂
ACO2(CO)适量O2
BNaCl溶液(CaCl2适量Na2CO3溶液
CCuO(Cu)适量稀盐酸
DNaCl溶液(Na2CO3   

查看答案和解析>>

科目: 来源:2013年江西省吉安市吉州区中考化学模拟试卷(解析版) 题型:填空题

16据2013年4月4日报道,上海某农贸市场发现市民感染H7N9病毒病例,上海市农委立即对该市场活禽进行扑杀,并采取消毒处理.表中所列为某消毒液产品的部分说明书,请根据下表用化学用语填空:
用途杀菌消毒
主要成分硝酸、硝酸银、过氧化氢
pH1.2
(1)该消毒液的溶剂是   
(2)该消毒液中含有的金属离子是   
(3)标出硝酸中原子团的化合价   
(4)该消毒液久置空气中某成分容易发生分解反应,造成杀毒效果减弱.其反应方程式为   

查看答案和解析>>

科目: 来源:2013年江西省吉安市吉州区中考化学模拟试卷(解析版) 题型:填空题

阅读以下材料,并根据所学化学知识回答问题:
材料一:2013年1月6日,新疆地矿局局长面对新闻媒体宣布,新疆探明的煤炭储量至少能保障100年的用量,铁矿石至少能保障50年的用量,有色金属保障30年的用量.
材料二:2013年1月8日,中石化宣布,2012年,中国石化油气探明储量首次突破8亿吨油当量.
材料三:截止2012年底,我国发现南海北部天然气水合物远景资源量达到184.58亿吨油当量,科学家发现1立方米的天然气水合物可以释放164立方米甲烷气.
(1)煤、石油、天然气是三大传统能源,都属于    (填“可再生”或“不可再生”)能源;小明认为天然气燃烧对环境没有影响,小红不赞同,理由是   
(2)2013年年初我国多省市发生严重的雾霾天气,李克强总理强调,要解决此问题,一方面加大政府工作力度,一方面也需要全民参与,共同治理.为减少雾霾天气的发生,我们可以   
A雾霾天气时,为减少对身体的危害,出行开车不开窗.
B夏天太热,晚上整夜开空调睡觉.
C 节约燃气,如把要做的食物准备好再点火.
D尽量无纸化办公,或者双面打印,节约资源,减少资源生产过程的能耗.
(3)按国际标准,城市天然气等气体燃料中必需加赋臭剂四氢噻吩(化学式为C4H8S),它极易燃烧,完全燃烧后生成三种常见的氧化物.请你写出四氢噻吩在空气中燃烧的化学方程式    ,天然气中添加赋臭剂的目的是    (写一条即可).
(4)天然气水合物即可燃冰,通常在高压低温下比较稳定,在开采过程中一旦泄露,大量甲烷气体就会排放到大气中,从而造成    (写一条)等隐患.

查看答案和解析>>

科目: 来源:2013年江西省吉安市吉州区中考化学模拟试卷(解析版) 题型:填空题

“从生活走进化学,从化学走向社会”.请你用化学知识回答以下问题:
(1)天然水有硬水和软水之分,硬水给人们的生活和生产带来很多麻烦,生活中可用    来区分硬水和软水,常用    的方法来软化硬水;
(2)衣服面料中的腈纶和羊毛可用    法区别;
(3)娄底生产的“大丰和”电动汽车,低碳环保,真正实现了节能减排,备受人们青睐.“大丰和”电动汽车在进行铅酸电池充电时,发生的反应为:2PbSO4+2H2OPb+2H2SO4+x,则x的化学式为   
(4)汽车外壳材料主要是钢,汽车表面喷漆,主要是为了防锈,钢铁在空气中锈蚀,实际上是铁跟空气中的    共同作用的结果;
(5)人体中的钠离子和钾离子对维持人体内体液的平衡和pH的恒定有重要作用,试画出钾离子的结构示意图   

查看答案和解析>>

科目: 来源:2013年江西省吉安市吉州区中考化学模拟试卷(解析版) 题型:填空题

根据图中a、b、c三种物质的溶解度曲线,回答下列问题:
(1)P点表示的含义是   
(2)t2℃时,50g b物质加入到50g水中充分溶解后,所得溶液的质量为   
(3)若欲从含有少量a物质的b物质中提取纯净的b物质,可采用的方法是   
(4)将t2℃,将等质量的a、b、c三种物质的饱和溶液降温至t1℃,所得三种溶液溶质质量分数的大小关系为   

查看答案和解析>>

科目: 来源:2013年江西省吉安市吉州区中考化学模拟试卷(解析版) 题型:填空题

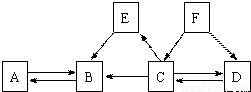
A、B、C、D、E、F是初中化学中常见的七种物质,它们之间的相互转化关系如图所示.已知常温下B、C为气体,且B是植物进行光合作用的一种重要原料;D、F均为无色液体且组成元素相同,E为黑色固体,与稀硫酸反应得到蓝色溶液(部分反应物和生成物及反应条件已略去).
(1)B是    ,其用途之一是   
(2)①若A转化至B发生的是氧化还原反应,则A可以是   
②若A 转化至B是复分解反应,则A可以是   
③若A转化至B是分解反应,则A可以是   
(3)请写出黑色固体E与稀硫酸反应的化学方程式:   

查看答案和解析>>

科目: 来源:2013年江西省吉安市吉州区中考化学模拟试卷(解析版) 题型:填空题

请你结合如装置图回答问题:
(1)写出有标号仪器的名称:a    ,b   
(2)实验室用甲装置制氧气的化学方程式是    ,若要得到比较纯净的氧气,通常用    法收集氧气.
(3)实验室通常用乙装置制取和检验二氧化碳,请写出一个乙装置中发生反应的化学方程式    .实验后,锥形瓶中溶液中的溶质可能只有氯化钙;也可能是    (杂质既不反应,也不溶于水).

查看答案和解析>>

科目: 来源:2013年江西省吉安市吉州区中考化学模拟试卷(解析版) 题型:填空题

2013年央视3?15晚会曝光:千足金、三个九,这是我们经常在黄金销售商店里看到表示黄金纯度的字眼,它意味着我们购买的黄金首饰是由纯度能够达到千分之九百九十九的黄金打造出来的.事实上市场上很多黄金首饰都没达标,而是添加了另一种元素,叫做“铱”.
(1)以下是某品牌黄金店购买的14.97g千足金项链送国家珠宝玉石检验中心检测后的结果:金含量<994.4‰、银含量>3.0‰、铱含量>1.4‰、锌含量0.2‰、铜含量0.6‰、镉含量0.1‰.请回答以下问题:
①【讨论】该品牌首饰店    (填“存在”或“不存在”)欺诈行为.
②【判断】从化学视角考虑,该黄金项链属于   
A  混合物       B  纯净物     C  合金        D  化合物
(2)【迁移】碳-14通常用来测定化石的大致年代,已知146C指质子数为6,中子数为8的碳原子.自然界中存在19377Ir和19177Ir两种铱原子.仅由以上信息推断不出的信息是   
A 铱元素属于金属元素
B 铱元素在周期表中的序数为77
C 两种铱原子中,中子数不同而质子数相同
D 氢氧化铱的化学式为Ir(OH)4
(3)【探究】某化学兴趣小组在探究银与铱两种金属的活动性顺序时采取的是分别向银和铱的金属粉末中加入稀盐酸,结果都未出现明显的现象,因此无法进行判断.请你设计实验探究方案进行探究,你的设计方案里,计划取用的两种药品是   

查看答案和解析>>

科目: 来源:2013年江西省吉安市吉州区中考化学模拟试卷(解析版) 题型:填空题

实验室有一瓶保管不当的试剂(如图),其残缺的标签中只剩下“Na”和“10%”字样.已知它是无色液体,是初中化学常用的试剂.小强和小华同学很感兴趣,决定对其成分进行探究:
提出问题:这瓶试剂可能是什么溶液呢?
交流讨论:根据受损标签的情况判断,这瓶试剂不可能是   
A.酸         B.碱        C.盐
查阅资料:Ⅰ.初中化学常见的含钠化合物有NaCl、NaOH、Na2CO3、NaHCO3
Ⅱ.Na2CO3和NaHCO3溶液都呈碱性.
Ⅲ.测定室温(20℃)时,四种物质的溶解度的数据如下:
物质NaClNaOHNa2CO3NaHCO3
溶解度g361092159.6
得出结论:小华根据试剂瓶标注的溶质质量分数10%和上表中的溶解度的数据判断,这瓶试剂不可能是   
设计实验并继续探究:
(1)小强用洁净的玻璃棒蘸取该溶液滴在pH试纸上,测得pH>7,这瓶试剂不可能是   
(2)小强为了确定该溶液是哪种溶液,他又进行了如下实验:
操作步骤实验现象结论及化学方程式
取样于试管中,滴加
   
产生大量的气泡该溶液是    ,反应的化学方程式
   
拓展与应用:确定该溶液还可以选择与小强不同的试剂,你选择的试剂是    (要求类别不同),对应的现象是   

查看答案和解析>>

同步练习册答案