相关习题
 0  79842  79850  79856  79860  79866  79868  79872  79878  79880  79886  79892  79896  79898  79902  79908  79910  79916  79920  79922  79926  79928  79932  79934  79936  79937  79938  79940  79941  79942  79944  79946  79950  79952  79956  79958  79962  79968  79970  79976  79980  79982  79986  79992  79998  80000  80006  80010  80012  80018  80022  80028  80036  211419 

科目: 来源:2013年广西省桂林市中考化学试卷(解析版) 题型:填空题

如图是KNO3的溶解度曲线,A,B,C代表KNO3三种不同状态下的溶液,请回答:
(1)A,B,C中,属于不饱和溶液的是    ,溶质质量分数最大的溶液是   
(2)将C点溶液转化为B点溶液时,溶液温度应该降至    ℃.
(3)保持溶剂质量不变,将18.55gA点溶液降温至10℃,可析出KNO3    g.
(4)NaCl在不同温度时的溶解度如下:
温度/℃306090
溶解度/g35.736.337.339.0
25℃时,将含KNO3,NaCl各40g的固体混合物投入盛有100g水的烧杯中,充分搅拌,再加热至50℃(溶剂质量保持不变),最终烧杯中剩余的固体成分是   

查看答案和解析>>

科目: 来源:2013年广西省桂林市中考化学试卷(解析版) 题型:填空题

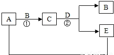
已知A,B,C,D,E均为初中化学中最常见的化合物,A是氧化物,它是产生温室效应的主要气体;B,C,D,E都由三种元素组成,其中B,D是碱,它们之间存在如图所示的转化关系(反应条件即部分生成物省略):

(1)写出化学式:A    ;B   
(2)反应②的化学方程式为    ;反应类型属于   

查看答案和解析>>

科目: 来源:2013年广西省桂林市中考化学试卷(解析版) 题型:填空题

同学们在实验室对含有泥沙的粗盐进行提纯,实验的基本流程如下:
(1)操作②的名称是   
(2)操作①②③都要用到的一种玻璃仪器是    ,在操作③中,使用这种玻璃仪器的目的是   
(3)计算所获得的氯化钠产率,发现产率偏低,由实验不当导致的可能原因是    (只写一种原因).
(4)用提纯所得的氯化钠溶液配制100g6%的氯化钠溶液,若实际所配溶液溶质质量分数大于6%,可能的原因是    (填字母编号).
a、称量氯化钠所用天平砝码沾有杂质;b、用量筒取水时俯视读数;c、用量筒取水时仰视读数;d、配制溶液的烧杯用蒸馏水润洗过
(5)若用6%的氯化钠溶液(密度为1.04g/cm3),配制16g质量分数为3%的氯化钠溶液,需要6%的氯化钠溶液    ml(结果保留小数点后一位).

查看答案和解析>>

科目: 来源:2013年广西省桂林市中考化学试卷(解析版) 题型:填空题

化学兴趣小组的同学们探究用Fe从含Fe2(SO43和CuSO4的溶液中获取金属Cu的原理.请你一起参与探究.
(1)实验依据:金属活动顺序.请在下表对应的方框内填入铁和铜的元素符号.

(2)意外发现:小明将光亮的铁丝插入含Fe2(SO43和CuSO4的废液中,一段时间后取出,意外地发现铁丝表面没有变红.
(3)提出问题:Fe为什么没有从废液中置换出Cu?
(4)提出假设:小丽认为在铁丝表面可能有Cu析出,但被Fe2(SO43溶液溶解了.
(5)验证假设:提供的主要实验用品:洁净的铁丝和铜丝各两根,相同体积、相同浓度的Fe2(SO43溶液三份[Fe2(SO43溶液显黄色].
实验操作实验现象和数据结论
①准确称量洁净的铁丝和铜丝的质量铁丝质量为ag,
铜丝质量为bg
\
②将铁丝插入Fe2(SO43溶液中,一段时间后取出、洗净、干燥、称量铁丝质量为mg,(m<a),溶液有黄色变为浅绿色一定有    生成(填化学式)
③将铜丝插入Fe2(SO43溶液中,一段时间后取出、洗净、干燥、称量铜丝质量为ng(n<b)    (填“能”或“不能”)与Fe2(SO43溶液反应
④另取相同质量、相同粗细的洁净铁丝和铜丝互相缠绕,插入Fe2(SO43溶液中,一段时间后取出、洗净、干燥、分别称量铁丝和铜丝的质量铁丝质量较轻
铜丝质量不变
Fe、Cu共存时    优先与Fe2(SO43溶液反应
(6)实验结论:小丽的假设    (选填“成立”或“不成立”),理由是   
(7)思考与交流:
①兴趣小组的同学们通过对上述实验的分析,找到了用Fe从含Fe2(SO43和CuSO4的溶液中提取金属Cu的关键,并且最终实验获得了成功,其实验成功的关键是:    .并且反应充分.
②已知Fe和Fe2(SO43发生化合反应.请按反应顺序写出用Fe从含Fe2(SO43和CuSO4的溶液中获取金属Cu的化学方程式:       

查看答案和解析>>

科目: 来源:2013年广西省桂林市中考化学试卷(解析版) 题型:解答题

热水瓶胆水垢的主要成分是Mg(OH)2和CaCO3,可用适量盐酸清洗除去.小红为测定水垢中碳酸钙的质量分数,进行了如下实验:取200g水垢,往其中逐滴加入足量的稀盐酸,将产生的气体缓缓通入足量氢氧化钠溶液中,同时测量8min内氢氧化钠溶液质量的变化值.所得结果如下表所示(忽略稀盐酸的挥发).
时间(min)12345678
氢氧化钠溶液增加的质量(g)1324323141434444
(1)表中有一个时间测量的“氢氧化钠溶液增加的质量”数据是错误的,此时间是第______min;
(2)200g水垢溶于足量稀盐酸中,产生CO2的最大质量为______g;
(3)计算水垢中碳酸钙的质量分数.
(4)请在如图坐标图中用正确的数据描绘出氢氧化钠溶液增加的质量与时间的变化关系图.

查看答案和解析>>

科目: 来源:中考化学试题分类卷(五)(解析版) 题型:选择题

新型防盗玻璃为多层结构,层与层之间连有极细的金属线,当玻璃被击碎时会有电信号,警报系统会立刻报警,这利用了金属的( )
A.导热性
B.导电性
C.弹性
D.延展性

查看答案和解析>>

科目: 来源:中考化学试题分类卷(五)(解析版) 题型:选择题

黄金是Au对应的单质,化学性质很稳定.而假黄金是铜锌合金,颜色和外形似黄金.下列不能区分黄金与假黄金的方案是( )
A.在空气中灼烧
B.放在盐酸中
C.观察颜色
D.放在AgNO3溶液中

查看答案和解析>>

科目: 来源:中考化学试题分类卷(五)(解析版) 题型:选择题

金属单质家族四兄弟W、X、Y、Z,不小心掉入稀盐酸池,神情如图所示:

则W、X、Y、Z的金属活动性顺序为( )
A.X>W>Z>Y
B.Z>X>W>Y
C.W>X>Y>Z
D.Y>Z>X>W

查看答案和解析>>

科目: 来源:中考化学试题分类卷(五)(解析版) 题型:选择题

下列有关Fe2O3的反应中,属于置换反应的是( )
A.Fe2O3+6HCl═2FeCl3+3H2O
B.Fe2O3+3CO2Fe+3CO2
C.Fe2O3+2AlAl2O3+2Fe
D.Fe2O3+3H2SO4═Fe2(SO43+3H2O

查看答案和解析>>

科目: 来源:中考化学试题分类卷(五)(解析版) 题型:选择题

把锌片放入溶液中充分反应,反应后溶液的质量比反应前减少的是( )
A.稀盐酸
B.硫酸镁溶液
C.硫酸亚铁溶液
D.硝酸银溶液

查看答案和解析>>

同步练习册答案