相关习题
 0  81045  81053  81059  81063  81069  81071  81075  81081  81083  81089  81095  81099  81101  81105  81111  81113  81119  81123  81125  81129  81131  81135  81137  81139  81140  81141  81143  81144  81145  81147  81149  81153  81155  81159  81161  81165  81171  81173  81179  81183  81185  81189  81195  81201  81203  81209  81213  81215  81221  81225  81231  81239  211419 

科目: 来源:2013年天津市红桥区中考化学一模试卷(解析版) 题型:选择题

下表是KCl的部分溶解度数据.下列说法正确的是( )
温度(℃)204060
溶解度(g)27.634.040.045.5

A.20℃时,100 g KCl饱和溶液中含34.0 g KCl
B.任何温度下的KCl饱和溶液都不能再溶解其它物质
C.40℃的KCl溶液的浓度一定大于 20℃的KCl饱和溶液的浓度
D.将60℃溶质质量分数为30%的KCl溶液降温至40℃时,有晶体析出

查看答案和解析>>

科目: 来源:2013年天津市红桥区中考化学一模试卷(解析版) 题型:选择题

下列依据实验目的所设计的实验操作中,不正确的是( )
选项实验目的所用试剂或方法
A将粗盐提纯溶解,过滤,蒸发
B鉴别羊毛和涤纶点燃,闻气味
C鉴别真假黄金观察颜色
D除去生石灰中的石灰石加水,过滤

A.A
B.B
C.C
D.D

查看答案和解析>>

科目: 来源:2013年天津市红桥区中考化学一模试卷(解析版) 题型:选择题

我国化学家侯德榜的“联合制碱法”工艺简洁效率高.其主要反应如下:
①NH3+H2O+CO2═NH4HCO3
②NaCl(饱和)+NH4HCO3═NH4Cl+NaHCO3
③2NaHCO3Na2CO3+H2O+CO2
下列说法正确的是( )
A.①反应是化合反应,②反应是置换反应
B.③反应过程中碳元素的化合价发生改变
C.③反应后的H2O和CO2可以被循环使用
D.反应结束后,只得到一种产物Na2CO3

查看答案和解析>>

科目: 来源:2013年天津市红桥区中考化学一模试卷(解析版) 题型:选择题

下列关于化学反应“X2+3Y2=2Z”的叙述正确的是( )
A.Z的化学式为XY3
B.mg X2和ngY2恰好完全反应,则一定生成(m+n)gZ
C.若有agX2完全反应,生成bgZ,则同时消耗(2b-a)g Y2
D.若X2和Y2的相对分子质量分别为M和N,则Z的相对分子质量为(M+N)

查看答案和解析>>

科目: 来源:2013年天津市红桥区中考化学一模试卷(解析版) 题型:填空题

化学就在我们身边.请从下列物质中选择适当的字母序号填空:
A、硝酸钾   B、纯碱    C、盐酸   D、甲醛  E、聚乙烯、聚氯乙烯等塑料
(1)人体胃液中含有的酸是   
(2)侯氏制碱法中的“碱”   
(3)“白色污染”物是指   
(4)常用来做复合肥的是   
(5)用于制作动物标本的是   

查看答案和解析>>

科目: 来源:2013年天津市红桥区中考化学一模试卷(解析版) 题型:填空题

日常生活与化学有着密切的联系.
物质每100g含有
脂肪11.7g
糖类55.7g
乳酸亚铁29.5mg
维生素A570μg
维生素C60mg
(1)用化学式填写:食盐、熟石灰、干冰、生石灰四种物质,可改良酸性土壤的是    ,可用作调味品的是   
(2)某品牌奶粉包装袋上标出的配料如如图所示:该产品配料中能提供能量的是    ,人体缺铁会引起贫血,该奶粉中    物质可以补充铁元素.
(3)旅游时若不小心被蚊虫叮咬(蚊虫能分泌出蚁酸),下列物质可用于涂抹以减轻疼痛的是   
A、食醋(pH<7)B、食盐水 (pH=7)
C、肥皂水(pH>7)D、烧碱溶液(pH>7)

查看答案和解析>>

科目: 来源:2013年天津市红桥区中考化学一模试卷(解析版) 题型:填空题

下表是几种家用清洁剂的功能、有效成分.
清洁剂名称洁厕灵活氧彩漂漂白精
功  能有效清除污垢,除异味漂洗衣物,使色彩更鲜艳快速漂除衣物污渍
有效成分HClH2O2NaClO
据表回答下列问题:
(1)“洁厕灵”能否与碱性清洁剂混用?   
(2)“洁厕灵”勿用于大理石清洁的理由是   
(3)在盛有少量“活氧彩漂”液体的试管中,加少量二氧化锰,观察到的现象是    ,其反应的方程式为   
(4)“洁厕灵”与“漂白精”不能混用.二者若混合易产生一种有毒气体,反应的化学方程式为:NaClO+2HCl=NaCl+X↑+H2O,则X的化学式为    ;NaClO中氯元素的化合价为   

查看答案和解析>>

科目: 来源:2013年天津市红桥区中考化学一模试卷(解析版) 题型:填空题

写出下列反应的化学方程式:
(1)铜与硝酸汞溶液反应:   
(2)硝酸钡与硫酸钠反应:   
(3)稀硫酸除铁锈:   

查看答案和解析>>

科目: 来源:2013年天津市红桥区中考化学一模试卷(解析版) 题型:填空题

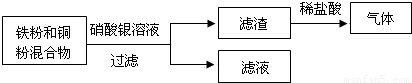
Ag、Cu、Fe和Al是生产或生活中广泛使用的金属.

(1)四种金属中,不是银白色的是   
(2)铁制品容易锈蚀,铁生锈的条件是    .生锈的废钢铁可回收重新冶炼,用一氧化碳还原氧化铁的化学方程式为   
(3)根据图所示回答:滤渣中一定有的金属是    ,滤渣与稀盐酸反应的化学方程式为    ;滤液中的溶质是   

查看答案和解析>>

科目: 来源:2013年天津市红桥区中考化学一模试卷(解析版) 题型:解答题

A与B有如下的反应:A+B→C+D
(1)若C为厨房内常用的调味品;在A溶液中加入铁粉能产生氢气,则A是______.若A、B两溶液恰好反应完全,则反应后溶液的PH______7(填“<”、“>”或“=”);写出A、B两溶液反应的化学方程式______.
(2)若B常用来改良酸性土壤;D是重要的化工原料且与B的类别相同;B与CO2反应也能生成C;则A为______.C的用途是(只要写一种)______.写出B溶液与CO2反应的化学方程式______.

查看答案和解析>>

同步练习册答案