相关习题
0 81772 81780 81786 81790 81796 81798 81802 81808 81810 81816 81822 81826 81828 81832 81838 81840 81846 81850 81852 81856 81858 81862 81864 81866 81867 81868 81870 81871 81872 81874 81876 81880 81882 81886 81888 81892 81898 81900 81906 81910 81912 81916 81922 81928 81930 81936 81940 81942 81948 81952 81958 81966 211419
科目:
来源:2013年河南省平顶山市中考化学一模试卷(解析版)
题型:填空题
请从指定的H、O、S、Na四种元素中选择合适的元素,按下列要求用化学用语表示:
(1)非金属氧化物(写一种) ;(2)碱 .
查看答案和解析>>
科目:
来源:2013年河南省平顶山市中考化学一模试卷(解析版)
题型:填空题
下表为某校食堂某天午餐部分食谱:
(1)食谱中富含蛋白质的是
.
(2)米饭中主要含有人体必需的营养素是
.
查看答案和解析>>
科目:
来源:2013年河南省平顶山市中考化学一模试卷(解析版)
题型:填空题
空气、水、燃料是人类赖以生存的自然资源.
(1)人类时刻都离不开空气,是因为空气中的氧气能
,空气属于
(填物质类别).
(2)为了保护环境,用煤作燃料的煤炉要适当增加进风口,将煤粉吹起使之剧烈燃烧,请解释这种做法有利于节能的原因是
.
(3)自来水消毒过程中常会发生如下化学反应,其反应的微观过程可用下图表示:

图乙所示反应的基本类型为
;
写出图甲所示反应的化学方程式
.
查看答案和解析>>
科目:
来源:2013年河南省平顶山市中考化学一模试卷(解析版)
题型:填空题
甲醛(HCHO)是一种无色、具有强烈刺激性气味的气体,易溶于水.甲醛水溶液广泛应用于医疗卫生等行业.最近媒体曝出某些不法商贩用甲醛水溶液给大白菜保鲜,人食用喷有甲醛水溶液的大白菜后,会出现呼吸道水肿,头痛,严重的可导致白血病,根据以上信息回答:
(1)甲醛由 种元素组成;甲醛中各元素的质量比为 .
(2)为了防止大白菜中万一喷有甲醛水溶液危害人体健康,食用大白菜前应该采取的措施是 (写一条).
查看答案和解析>>
科目:
来源:2013年河南省平顶山市中考化学一模试卷(解析版)
题型:填空题
A、B、C是初中化学中的常见物质,且三种物质中都含有X元素,已知:①X元素是地壳中含量最高的元素;②A为单质,B、C为化合物;③B是产生温室效应的主要气体;④C大量用于建筑业;C与稀盐酸反应可产生B.请回答:
(1)C的化学式为 ;
(2)写出A与铁反应的化学方程式: ;
(3)写出B与饱和石灰水反应的化学方程式: .
查看答案和解析>>
科目:
来源:2013年河南省平顶山市中考化学一模试卷(解析版)
题型:填空题
选择一种试剂(适量)除去下列括号中的杂质(填化学式):
(1)铜粉(锌粉)
(2)盐酸(硫酸) .
查看答案和解析>>
科目:
来源:2013年河南省平顶山市中考化学一模试卷(解析版)
题型:填空题
碳和碳的化合物是自然界中重要的物质,请回答下列问题:
(1)金刚石和石墨的物理性质有很大的差异,其原因是什么? .
(2)NaHCO3俗称小苏打,举出NaHCO3在生活中的一种用途. .
查看答案和解析>>
科目:
来源:2013年河南省平顶山市中考化学一模试卷(解析版)
题型:解答题
以下是实验室常用的装置,请根据装置回答下列问题

(1)实验室若要制取干燥的氧气,应选择装置的连接顺序为(填字母)______,有关反应的化学方程式为______ 2H
2O+O
2↑
查看答案和解析>>
科目:
来源:2013年河南省平顶山市中考化学一模试卷(解析版)
题型:填空题
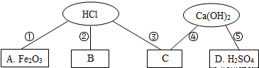
同学们在学习酸碱的化学性质时构建了如图知识网络,A、B、C、D是不同类别的无机化合物,“-”表示物质在一定条件下可以发生化学反应.请回答下列问题:
(1)反应①的化学方程式为
,反应的实验现象有
.
(2)物质C应是酸、碱、盐中的哪类物质?
.
(3)写出图中一个中和反应的化学方程式:
.

查看答案和解析>>
科目:
来源:2013年河南省平顶山市中考化学一模试卷(解析版)
题型:填空题
在化学实验室开放日,老师拿出3瓶无标签的黑色固体粉末,让同学们设计方案将它们一一鉴别开.已知三种粉末分别是木炭、铁粉和氧化铜,又知木炭比水轻且不与稀酸反应.小宇同学只用一种试剂就将它们检验出来.请你回答下列问题:
(1)小宇选用的试剂是 ;
(2)确定三种粉末所依据的实验现象分别是:木炭、 ;铁粉、 ;氧化铜、 .
查看答案和解析>>