相关习题
0 82561 82569 82575 82579 82585 82587 82591 82597 82599 82605 82611 82615 82617 82621 82627 82629 82635 82639 82641 82645 82647 82651 82653 82655 82656 82657 82659 82660 82661 82663 82665 82669 82671 82675 82677 82681 82687 82689 82695 82699 82701 82705 82711 82717 82719 82725 82729 82731 82737 82741 82747 82755 211419
科目:
来源:2006年江苏省南京市白下区中考化学二模试卷(解析版)
题型:选择题
下列离子不能在pH为13的水溶液中大量共存的是 ( )
A.SO42-、Cl-、Na+、K+
B.K+、SO42-、Cu2+、NO3-
C.Cl-、K+、SO42-、Na+
D.K+、Cl-、CO32-、Na+
查看答案和解析>>
科目:
来源:2006年江苏省南京市白下区中考化学二模试卷(解析版)
题型:选择题
化学概念在逻辑上存在如图所示关系,对下列概念间的关系说法正确的是( )

A.纯净物与混合物属于包含关系
B.化合物与氧化物属于包含关系
C.单质与化合物属于交叉关系
D.中和反应与复分解反应属于并列关系
查看答案和解析>>
科目:
来源:2006年江苏省南京市白下区中考化学二模试卷(解析版)
题型:选择题
在饱和Ca(OH)2溶液中,放入少量CaO粉末,恢复至原温度后,没发生变化的是( )
A.溶质质量
B.溶液质量
C.溶质质量分数
D.溶剂的质量
查看答案和解析>>
科目:
来源:2006年江苏省南京市白下区中考化学二模试卷(解析版)
题型:填空题
在我们的生活中,许多现象与化学有着密切的联系,请用化学式填空:
(1)食用假盐引起中毒,原因是假盐中含有 .
(2)用煤炉取暖时易发生中毒,主要是由于室内 排放不畅而引起的.
(3)用做建筑材料的大理石,其主要成分是 .
(4)未开启的菜窑中因含有大量的 ,故进入前必须要做灯火实验.
查看答案和解析>>
科目:
来源:2006年江苏省南京市白下区中考化学二模试卷(解析版)
题型:填空题
元素周期表中,钙元素和镁元素同在一个纵行里,它们的原子结构示意图如图所示,则:
(1)钙与镁的化学性质
(填“相似”、“相同”或“不同“),理由是
.
(2)钙元素的核电荷数为
;在元素周期表中属第
周期;钙离子的化学符号为
;钙离子与镁原子的不同在于
.

查看答案和解析>>
科目:
来源:2006年江苏省南京市白下区中考化学二模试卷(解析版)
题型:填空题
下图为某厂生产的高钙片标签上的部分文字,请仔细阅读后回答下列问题.

(1)维生素D种类较多,其中维生素D
2的化学式为C
28H
44O,试计算维生素D
2的相对分子质量为
;维生素D
2中碳、氢、氧三种元素的质量比为
.
(2)计算高钙片中碳酸钙的质量分数
.
(3)根据你对补钙产品的了解和已有的化学知识,判断下列物质可作为补钙品直接服用的是
(填字母).
A、氧化钙 B、氢氧化钙 C、葡萄糖酸钙.
查看答案和解析>>
科目:
来源:2006年江苏省南京市白下区中考化学二模试卷(解析版)
题型:填空题
小明用如图所示装置探究可燃物燃烧的条件.他发现热水中的白磷熔化成一白色小液滴.不久,铜片上的白磷开始燃烧,而红磷及水中的白磷都不燃烧.请回答:
(1)可燃物燃烧需要同时满足的条件是:
、
;
(2)白磷具有的物理性质是
、
;
(3)实验完毕,小明将烧杯中的热水慢慢倒出,水快倒完时,小明
发现白磷刚露出水面就剧烈燃烧起来,请解释该现象
;
(4)通常保存少量白磷的方法是
.

查看答案和解析>>
科目:
来源:2006年江苏省南京市白下区中考化学二模试卷(解析版)
题型:解答题
如图表示通电分解水的简易装置.回答下列问题:
(1)与A量筒中的电极相连接的是电池的______极,B量筒中产生的气体是______.
(2)如果用V
A和V
B分别表示A量筒和B量筒中生成气体的体积,则V
A:V
B约等于______.
(3)如果该实验中产生氧气32g,则生成氢气______g.
(4)该实验能证明的结论是:①______;②______.

查看答案和解析>>
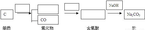
科目:
来源:2006年江苏省南京市白下区中考化学二模试卷(解析版)
题型:解答题
请你完成碳元素由“单质-氧化物-含氧酸-盐”的变化过程,把变化过程中相应物质的化学式填入方框中:

查看答案和解析>>
科目:
来源:2006年江苏省南京市白下区中考化学二模试卷(解析版)
题型:解答题
如图是固体物质甲的溶解度曲线.
(1)图中A点代表甲的______溶液(选填“饱和”或“不饱和”).
(2)请填写下表剩余空格.(在表中的第1、2、3栏内选填“变大”、“变小”或“不变”;在第4栏内选填“饱和”或“不饱和”.)
| 过程 | 1 | 2 | 3 | 4 |
| 降低温度 | 溶剂质量 | 溶质质量 | 溶质质量分数 | 溶液状态 |
| A→B | | | 不变 | B点 |
| B→C | 不变 | | | C点 |

查看答案和解析>>