相关习题
 0  82711  82719  82725  82729  82735  82737  82741  82747  82749  82755  82761  82765  82767  82771  82777  82779  82785  82789  82791  82795  82797  82801  82803  82805  82806  82807  82809  82810  82811  82813  82815  82819  82821  82825  82827  82831  82837  82839  82845  82849  82851  82855  82861  82867  82869  82875  82879  82881  82887  82891  82897  82905  211419 

科目: 来源:2012年11月中考化学模拟试卷(22)(解析版) 题型:选择题

化学知识无处不在,下面说法正确的是( )
A.不锈钢的防锈原理与铁管表面喷油漆的防锈原理相同
B.大米中含有丰富的维生素C
C.有些女孩子为了身材苗条,拒绝食用油脂,这对身体健康没有影响
D.回收各种废弃塑料是解决“白色污染”的方法之一

查看答案和解析>>

科目: 来源:2012年11月中考化学模拟试卷(22)(解析版) 题型:选择题

将深色的衣服和浅色的衣服浸泡在一起,会使浅色衣服染上深颜色,这其中的主要原因是由于深色燃料中的( )
A.分子是在不断运动
B.原子本身发生了改变
C.分子间的空隙变大
D.原子在化学变化中可分

查看答案和解析>>

科目: 来源:2012年11月中考化学模拟试卷(22)(解析版) 题型:选择题

生活中常常会发生一些变化,下列变化属于化学变化的是( )
A.樟脑球在衣柜中渐渐消失
B.吃进的食物一段时间后被消化了
C.给电熨斗通电产生热能
D.在晾干的咸菜表面出现白色晶体

查看答案和解析>>

科目: 来源:2012年11月中考化学模拟试卷(22)(解析版) 题型:填空题

钢铁是使用最多的金属材料.
(1)早在春秋战国时期,我国就开始生产和使用铁器.写出以赤铁矿(主要成分Fe2O3)为原料炼铁的化学方程式   
(2)利用新技术能将不锈钢加工成柔软的金属丝,用它和棉纤维一起编织成性能优良的劳保防护服,这是利用了不锈钢的    (填序号).
A.耐腐蚀性B.延展性C.导热性D.导电性
(3)市场上有一种含囫粉的麦片,食用后在胃酸作用下将铁粉转化为人体可吸收的铁元素,反应的化学方程式为    .这种麦片必须真空保存,原因是   

查看答案和解析>>

科目: 来源:2012年11月中考化学模拟试卷(22)(解析版) 题型:解答题

化学是造福人类的科学,请用所学过的化学知识解答下列问题.
(1)常用化肥有:①尿素[CO(NH22];②硝酸钾KNO3;③硝酸铵NH4NO3等.上述化肥中属于复合肥的是______(填序号),硝酸铵溶解于水后溶液温度明显______(填“升高”或“降低”).
(2)有些胃药中含有氢氧化铝,当胃酸过多时,服用该药片后,在胃中可能发生的化学反应为______(用化学方程式表示);此类药物建议咀嚼后咽下,请叙述“咀嚼”后咽下的好处______(答出一点即可).
(3)在世博园区内分布着许多“直饮水”点,其“直饮水”的主要生产流程是:自来水→活性炭→超滤膜分离→紫外线消毒→直饮水.其中活性炭起______作用;超滤膜可以让水分子通过,其它大分子污染物被截留,这个分离过程属于______(填“物理变化”或“化学变化”).

查看答案和解析>>

科目: 来源:2012年11月中考化学模拟试卷(22)(解析版) 题型:解答题

右图是实验室制取气体的常见装置,请回答下列问题.
(1)仪器a的名称是______.
(2)若用高锰酸钾制氧气______(填“能”或“不能”)选用该装置.
(3)现有药品:①稀硫酸②稀盐酸③大理石.若用该装置制取C02,选用的药品是______(填序号),反应的化学方程式是______.  
(4)写出鉴别氧气和二氧化碳的一种方法:______.

查看答案和解析>>

科目: 来源:2012年11月中考化学模拟试卷(22)(解析版) 题型:填空题

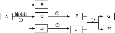
A~H是初中化学常见的物质,其中A是发酵粉的主要成分之一,B是常用调味品,E、F的俗称分别是熟石灰、纯碱.它们之间的相互转化关系如下图.
(1)写出A、B的化学式:A    ,B   
(2)在物质的分类中,D属于    (填“酸”、“碱”、“盐”或“氧化物”).
(3)图中反应②的化学方程式为   
(4)图中反应④的化学方程式为   

查看答案和解析>>

科目: 来源:2012年11月中考化学模拟试卷(22)(解析版) 题型:解答题

小彬同学家新买了水龙头,从说明书上了解到该水龙头是铜质镀铬的.他想起在学习金属性质时用到的金属活动性顺序中没有铬,为了了解铬与常见金属铝、铜在金属活动性顺序中的相对位置关系,进行如下探究活动.
查阅资料铬(Cr)是银白色有光泽的金属,在空气中表面能生成抗腐蚀性的致密氧化膜.铬能与稀硫酸反应,生成蓝色的硫酸亚铬( CrSO4)溶液…
铝是银白色有光泽的金属,能与稀硫酸反应,生成无色的硫酸铝溶液…
预测三种金属在金属活动性顺序中的相对位置关系:
①Cr  Al  Cu        ②Al  Cr  Cu    ③Al  Cu  Cr
实验过程取大小相同的三种金属薄片,用砂纸打磨光亮.
实验一实验二实验三

实验
方案
实验
现象
铬片表面产生气泡缓慢,溶液变蓝色.______铝片表面产生气泡较快.
结论铬能和稀硫酸发生反应,反应速率较慢.铜不与稀硫酸反应______
三种金属在金属活动性顺序中的相对位置关系是______(填①②③)
回答问题(1)用砂纸打磨金属片的目的是______.
(2)实验一所发生反应的化学方程式是______.
(3)小东提出用硫酸铜溶液代替上述实验中的稀硫酸也能得出三种金属在金属活动性顺序中的相对位置关系,小燕认为不可行,理由是______.
(4)小清认为只要选用三种药品进行实验就可以得出三种金属在金属活动性顺序中的相对位置关系,这三种药品可以是______.
归纳比较金属活动性强弱的方法有①______②______.

查看答案和解析>>

科目: 来源:2012年11月中考化学模拟试卷(22)(解析版) 题型:解答题

10克碳酸钙与稀盐酸反应的关系如图.
(1)当加入73克稀盐酸时,稀盐酸与碳酸钙恰好完全反应.
①当加入73克稀盐酸时,反应生成的气体的质量是多少?
②当加入73克稀盐酸时,反应后溶液中溶质的质量分数是多少?
(2)当加入120克稀盐酸时,溶液中溶质是______.

查看答案和解析>>

科目: 来源:2012年四川省乐山市井研县中考适应考试化学试卷(解析版) 题型:选择题

2012年3月22日是第二十届“世界水日”,联合国确定今年“世界水日”的宣传主题是“水与粮食安全”( Water and Food Security).下列跟水有关的变化中有化学变化的是( )
A.海水晒盐
B.太阳能光解水制氢气
C.用活性炭净化水
D.用自来水制蒸馏水

查看答案和解析>>

同步练习册答案