相关习题
 0  84007  84015  84021  84025  84031  84033  84037  84043  84045  84051  84057  84061  84063  84067  84073  84075  84081  84085  84087  84091  84093  84097  84099  84101  84102  84103  84105  84106  84107  84109  84111  84115  84117  84121  84123  84127  84133  84135  84141  84145  84147  84151  84157  84163  84165  84171  84175  84177  84183  84187  84193  84201  211419 

科目: 来源:2012年北京市怀柔区中考化学二模试卷(解析版) 题型:选择题

下列四个图象中,能正确反映所对应叙述关系的是( )
A.
向一定量的铁粉中加入稀硫酸
B.
加热一定量的高锰酸钾制取氧气
C.
向一定量的硫酸铜溶液中加入铁粉
D.
向一定量的氢氧化钠溶液中加入稀硫酸

查看答案和解析>>

科目: 来源:2012年北京市怀柔区中考化学二模试卷(解析版) 题型:填空题

化学与生活密切相关,在厨房里蕴藏着许多化学知识.
(1)下列食物中,能提供大量维生素的是    (填字母序号);

(2)加钙牛奶中的“钙”是指    (填“元素”或“分子”),身体中一旦缺钙,可能患有的疾病是    (填“骨质疏松”或“贫血”);
(3)厨房中的下列物品中,所使用的主要材料属于天然纤维的是    (填字母序号);

(4)我们常用洗涤剂清洗餐具上的油污,这是因为洗涤剂具有    的功能;
(5)厨房中能用来除去水壶中水垢的物质是    (填“食醋”或“食盐水”).

查看答案和解析>>

科目: 来源:2012年北京市怀柔区中考化学二模试卷(解析版) 题型:填空题

下表是国家对“饮酒驾车”和“醉酒驾车”的界定标准:
饮酒驾车20毫克/100毫升≤血液中的酒精含量<80毫克/100毫升
醉酒驾车血液中的酒精含量≥80毫克/100毫升
白酒、红酒和啤酒中均含有乙醇(俗称酒精,化学式为C2H5OH),饮酒后酒精可进入人体血液中.请回答下列问题:
(1)乙醇(C2H5OH)中碳、氢、氧元素的质量比是C﹕H﹕O=   
(2)饮酒会使人的    系统过度兴奋或麻痹抑制,容易引发交通事故.某人饮酒后驾车,被交警发现,经测定其每100毫升血液中酒精含量为93毫克,属于    驾车;
(3)在治理酒后驾车中,酒精检测仪发挥了重要作用.如图甲是酒精检测仪,图乙是检测仪的简化电路图,R为定值电阻,R为气敏电阻,该电阻阻值与酒精气体含量的关系如图丙,如果图乙中电流表示数越大,说明司机吹出的气体中酒精含量就   

查看答案和解析>>

科目: 来源:2012年北京市怀柔区中考化学二模试卷(解析版) 题型:填空题

在高效复习课堂中,同学们利用“硫酸、硝酸钡、氢氧化钠、碳酸钾”四种物质的溶液对“复分解反应发生的条件”进行再探究.
【知识回放】
通过判断上述四种溶液两两之间能否发生反应,我能写出其中符合下列条件的两个化学方程式:
(1)一个中和反应   
(2)一个有沉淀生成的反应   
【挖掘实质】
(1)图1是HCl和NaOH在水中解离出离子的示意图,小丽发现HCl在水中会解离出H+和Cl-,NaOH在水中会解离出Na+和OH-,以此类推硝酸钡在水中会解离出的离子是    (填离子符号).
(2)图2是稀盐酸和氢氧化钠溶液发生化学反应的微观过程示意图,该化学反应的实质可以表示为H++OH-=H2O,我也能用同样的方式表示上述四种溶液两两之间发生反应时有气体生成的反应的实质   
【实践运用】
(1)通过上述探究发现,在溶液中H+和OH-不能大量共存,我还发现在溶液中        (填离子符号,下同)也不能大量共存.
(2)利用上述四种物质的溶液完成实验后,将所得物质混合并过滤,得到一种无色溶液.经测定,该溶液显酸性.则在该溶液中一定含有的离子是    .为了验证该溶液中可能含有的离子是否存在,我设计如下实验进行验证.
溶液中可能含有的离子设计实验验证(实验步骤、现象及对应的结论)
       
【知识升华】
对“复分解反应发生的条件”的再探究,我发现在分析多种溶液混合后所得溶液中离子的成分时,应考虑的因素是   

查看答案和解析>>

科目: 来源:2012年北京市怀柔区中考化学二模试卷(解析版) 题型:填空题

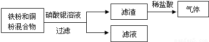
Ag、Cu、Fe和Al是生产或生活中广泛使用的金属.

(1)四种金属中,不是银白色的是   
(2)铁制品容易锈蚀,铁生锈的条件是    .生锈的废钢铁可回收重新冶炼,用一氧化碳还原氧化铁的化学方程式为   
(3)根据图所示回答:滤渣中一定有的金属是    ,滤渣与稀盐酸反应的化学方程式为    ;滤液中的溶质是   

查看答案和解析>>

科目: 来源:2012年北京市怀柔区中考化学二模试卷(解析版) 题型:填空题

从C、H、O、N、S、P、Na、Fe、Ba等9种元素中选择恰当的元素,用离子符号、化学式或化学方程式按下列要求填空:
(1)硫酸钠中的阴离子    ;氯化亚铁中的阳离子    ;能使木材、纸张变黑的酸    ;溶于水后显碱性的气体    ;用于造纸、洗涤剂的盐   
(2)一种暗红色的固体燃烧生成大量的白烟   
(3)高炉炼铁(以赤铁矿为例)过程中还原成铁的主要反应原理   
(4)有沉淀生成的中和反应   
(5)在人体组织里,葡萄糖在酶的作用下发生缓慢氧化   

查看答案和解析>>

科目: 来源:2012年北京市怀柔区中考化学二模试卷(解析版) 题型:解答题

以下是实验室常用部分仪器:

(1)指出图中仪器的名称:④______;
(2)小李同学选择仪器制取并收集氧气,已知他使用了仪器①③⑤⑥,那么他还需要使用上图仪器中的______(填序号);该发生装置检查气密性的方法是:把导管的一端浸在水里,用手紧贴试管外壁,若导管口有______,则说明该装置不漏气.
(3)小张同学正在收集一瓶CO2,不知是否收集满了,其验满方法是______.
(4)某兴趣小组选用上述仪器,用锌粒和稀硫酸制氢气,锌粒反应完后,发现还有较多的灰黑色固体物质,从反应后的混合物中分离得到该灰黑色固体的操作方法是______.
【提出问题】灰黑色固体物质的成分是什么呢?
【提出猜想】①可能含有单质碳;②可能含有单质铜;③可能还有其它物质
【设计实验】请设计实验用化学方法证明该灰黑色固体物质中是否含有单质碳和单质铜.完成下表(不一定要填满):
步骤实 验 方 法现 象 和 结 论
1____________
2____________
3____________
【反思讨论】上述各步反应完全后,兴趣小组的同学还收集到了少量剩余黑色固体物质,为了进一步探究剩余固体物质的成分,兴趣小组的同学讨论后,认为用初中化学知识无法解决,你对下一步的探究学习活动的合理建议是:首先______.

查看答案和解析>>

科目: 来源:2012年北京市怀柔区中考化学二模试卷(解析版) 题型:解答题


(1)图甲所示的实验中可能观察到的现象是______.
(2)按图乙进行实验时,发现小气球胀鼓起来.如果实验中发生了化学反应,则液体X和固体Y可能的组合是(至少答出三种)______;如果实验中没有发生化学反应.则液体X和固体Y可能的组合是______(答出一种即可).
(3)按图丙所示装置进行实验,首先将液体A滴入盛有气体B的试管中,充分反应后,打开止水夹,发现水倒吸入试管①中,则液体A和气体B可能是______.

查看答案和解析>>

科目: 来源:2012年北京市怀柔区中考化学二模试卷(解析版) 题型:解答题

某兴趣小组同学为证明NaOH溶液与稀盐酸发生了中和反应,从不同角度设计了如下实验方案,并进行实验.
方案一:先用pH试纸测定NaOH溶液的pH,再滴加盐酸,并不断振荡溶液,同时测定混合溶液的pH,如果测得的pH逐渐变小且小于7,则证明NaOH溶液与稀盐酸发生了化学反应.
(1)用pH试纸测定溶液的pH时,正确的操作是:______.
(2)简述强调“测得的pH小于7”的理由:______.
方案二:先在NaOH溶液中滴加几滴酚酞溶液,溶液显红色,然后再滴加盐酸,可观察到红色逐渐消失,则证明NaOH溶液与稀盐酸发生了化学反应.
该组同学在向NaOH溶液中滴加酚酞溶液时,发现了一个意外现象:氢氧化钠溶液中滴入酚酞溶液,溶液变成了红色,过了一会儿红色就消失了.该小组对这种意外现象的原因作了如下猜想:
①可能是酚酞溶液与空气中的氧气反应,使红色消失;
②可能是氢氧化钠溶液与空气中的二氧化碳反应,使红色消失.
(1)为验证猜想①,该组同学做了如下实验:将配制的氢氧化钠溶液加热,并在液面上方滴一些植物油,然后在冷却后的溶液中滴入酚酞溶液.实验中“加热”和“滴入植物油”目的是______.实验结果表明酚酞溶液红色消失与空气中的氧气无关.
(2)为验证猜想②,该组同学做了如下实验:取了一定量的Na2CO3溶液,在其中滴入酚酞溶液,发现溶液也呈现红色,由此可得出以下两点结论:
结论1:说明Na2CO3溶液呈______性;
结论2:说明酚酞溶液红色消失与空气中的二氧化碳无关.
(3)该小组同学通过查阅资料得知:当氢氧化钠溶液浓度很大时,就会出现上述意外现象.请设计实验证明该方案中取用的NaOH溶液浓度过大:①实验方法______,②观察到的现象______.
方案三:化学反应中通常伴随有能量的变化,可借助反应前后的温度变化来判断反应的发生.如果NaOH溶液与稀盐酸混合前后温度有变化,则证明发生了化学反应.
该组同学将不同浓度的盐酸和NaOH溶液各10mL混合,用温度计测定室温下混合前后温度的变化,并记录了每次混合前后温度的升高值△t(如下表).
编号盐酸NaOH溶液△t/℃
13.65%2.00%3.5
23.65%4.00%x
37.30%8.00%14
(1)表中x=______.
(2)某同学在没使用温度计的情况下,通过如图1所示装置完成了实验.则该同学根据______判断NaOH溶液与稀盐酸发生了中和反应.

(3)关于实验中的细节和意外情况:
①实验中,稀盐酸必须用胶头滴管逐滴滴加,这样做的目的是______.
②实验过程中,要用玻璃棒不断搅拌,这样做的目的是______.
③在实验过程中意外发现有气泡出现,你认为原因是______.
④发现盛放NaOH溶液的试剂瓶瓶口和橡皮塞上出现了白色粉末.他们依据所学的化学知识,对这种白色粉末的成分作了如下猜想:①可能是NaOH;你认为:②可能是______; ③可能是______.
(4)为了进一步研究实验中出现的问题,取了13.3g氢氧化钠固体样品加适量的水配成溶液,向其中加入200g10%的稀盐酸,使其充分反应,生成二氧化碳2.2g.求:
(1)样品中氢氧化钠的质量;
(2)和氢氧化钠反应的盐酸的质量;
(3)在图2中画出以纵坐标表示二氧化碳质量,横坐标表示盐酸的质量的关系图.(已知Na2CO3+2HCl═2NaCl+H2O+CO2↑)

查看答案和解析>>

科目: 来源:2012年北京市怀柔区中考化学二模试卷(解析版) 题型:解答题

钛(Ti)和钛合金被认为是21世纪的重要金属材料.钛可通过如下反应制得:TiCl4+2Mg Ti+2MgCl2,若要制得12g钛,需要镁的质量是多少克?

查看答案和解析>>

同步练习册答案