相关习题
 0  84185  84193  84199  84203  84209  84211  84215  84221  84223  84229  84235  84239  84241  84245  84251  84253  84259  84263  84265  84269  84271  84275  84277  84279  84280  84281  84283  84284  84285  84287  84289  84293  84295  84299  84301  84305  84311  84313  84319  84323  84325  84329  84335  84341  84343  84349  84353  84355  84361  84365  84371  84379  211419 

科目: 来源:2012年江苏省苏州市吴江市青云中学中考化学二模试卷(解析版) 题型:选择题

某溶液含有Cu(NO32和AgNO3,现向其中加入一定量的铁粉进行处理,并绘制参加反应的铁与溶液中溶质种类的关系图(如下图).下列说法正确的是( )

A.当参加反应的铁的质量为m1时,溶质的种类、金属单质种类均为3种
B.当参加反应的铁的质量为m1、m2时,两者溶液中Cu(NO32质量分数相等
C.当溶质种类为2种时,金属单质的种类可能为2种
D.当溶质种类为1种时,金属单质的种类可能为1种

查看答案和解析>>

科目: 来源:2012年江苏省苏州市吴江市青云中学中考化学二模试卷(解析版) 题型:解答题

请按要求填空:
(1)用数字和化学符号表示:
①三个钠原子______;
②空气中含量最多的气体______;
③两个碳酸根离子______;  
④过氧化氢中氧元素的化合价______.
(2)请从H、C、O、N这 4种元素中选择恰当的元素,组成符合下列要求的物质,并将其化学式填写在相应的空格上:
①天然气的主要成分______;  
②葡萄糖______;
③一种盐______;  
④可引起酸雨的一种氧化物______.

查看答案和解析>>

科目: 来源:2012年江苏省苏州市吴江市青云中学中考化学二模试卷(解析版) 题型:解答题

写出符合下列要求的化学方程式:
(1)用石灰石制生石灰______ CaO+CO2

查看答案和解析>>

科目: 来源:2012年江苏省苏州市吴江市青云中学中考化学二模试卷(解析版) 题型:解答题

钢铁是使用最多的金属材料.
(1)生铁和钢都是铁合金,其中含碳量较高的是______.
(2)人们大量使用的是铁合金而不是纯铁,这是因为铁的合金具有更多优良性能,例如钢比纯铁硬度______(填“大”或“小”).
(3)如图所示是液态二氧化碳灭火器,请回答下列问题.
①图中所标物质中属于有机材料的是______(只写一种).
②加压在小钢瓶中液态二氧化碳喷出后能灭火.其原理是______和______.
(4)赤铁矿是炼铁的主要原料,写出用CO和赤铁矿炼铁的化学方程式______ 2Fe+3CO2

查看答案和解析>>

科目: 来源:2012年江苏省苏州市吴江市青云中学中考化学二模试卷(解析版) 题型:解答题

向装有等量水的A、B、C烧杯中分别加入10g、25g、25gNaNO3固体,充分溶解后,现象如图一所示.

(1)烧杯中的溶液一定属于饱和溶液的是______(填序号);
(2)图二能表示NaNO3溶解度曲线的是______(填“甲”或“乙”);
(3)由图二分析,若分别将100g甲、乙的饱和溶液从t2℃降温到t1℃,对所得溶液的叙述正确的______(填序号).
A.甲、乙都是饱和溶液               B.所含溶剂质量:甲<乙
C.溶液质量:甲>乙                 D.溶质质量分数:甲>乙.

查看答案和解析>>

科目: 来源:2012年江苏省苏州市吴江市青云中学中考化学二模试卷(解析版) 题型:解答题

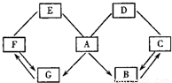
如图所示A~G是初中化学常见的物质.图中“→”表示转化关系,“-”表示相互能反应.已知A是人体胃液中含有的酸,G是最轻的气体,B、C、D、E、F都是氧化物.请回答:
(1)G的化学式为______,E与F发生化学反应的基本类型是______,写出物质B的一种用途______;
(2)C、D发生反应的化学方程式可能为______ 2Fe+3CO2

查看答案和解析>>

科目: 来源:2012年江苏省苏州市吴江市青云中学中考化学二模试卷(解析版) 题型:解答题

右图装置可以完成多个简单实验,具有药品用量少、实验现象明显、尾气不外逸等优点.
(1)若甲中吸有浓氨水,乙中吸有无色酚酞溶液,将甲、乙中的液体同时挤出,一段时间后,观察到无色酚酞溶液变红,说明分子具有的性质是______.
(2)若甲中吸有水,乙中吸有稀硫酸,烧杯①中盛有用石蕊溶液染成紫色的干燥纸花,烧杯②中盛有碳酸钠粉末.为了验证使石蕊变色的物质是碳酸而不是二氧化碳,应采取的实验操作是______.
(3)若先将甲中的液体挤出,观察到气球明显鼓起,一段时间后恢复原状;再将乙中的液体挤出,气球又明显鼓起.请将下表中的试剂补充完整.
滴管甲烧杯①滴管乙烧杯②
试剂H2O____________Mg
气球鼓起是因为装置内气压增大,两次气压增大的原因依次是______.

查看答案和解析>>

科目: 来源:2012年江苏省苏州市吴江市青云中学中考化学二模试卷(解析版) 题型:解答题

一瓶氢氧化钠固体,因不慎敞口放置了一段时间,已经部分变质.化学课外兴趣小组的同学决定测定该瓶试剂变质的程度,他们在知识回顾的基础上,依次进行了如下的实验操作:
知识回顾:氢氧化钠必须密封保存;氢氧化钠与二氧化碳反应生成Na2CO3和H2O;CaCO3不溶于水.
第一步:取该瓶中的试剂20g加水配制成溶液;
第二步:向上述溶液中加入足量的澄清石灰水;
第三步:过滤、干燥、称量,生成沉淀为5g.
(1)若该瓶试剂中的Na2CO3的质量分数为A,则氢氧化钠的质量分数______ 1-A(填大于、等于或小于),原因是______.
(2)计算该20g试剂中含有杂质Na2CO3的质量分数(结果精确到0.1%).

查看答案和解析>>

科目: 来源:2012年江苏省苏州市吴江市青云中学中考化学二模试卷(解析版) 题型:解答题

初三(2)班同学在实验室进行三种碳酸盐(碳酸氢铵、碱式碳酸铜、碳酸钙)的性质对比实验.
(1)下面是同学实验的现场实录,请根据现象判断失误原因,并将对应选项填在下面的表格.
操作操作上的失误
小余同学加碱式碳酸铜粉末时将其沾在试管口及内壁上______
小李同实验学桌上滴瓶里的酚酞试液变红了______
小青同学在装有碳酸氢铵的试管内加入稀盐酸时,气泡带着泡沫冲出了试管______
小敏同学在测定碳酸钙上层清液pH值时,发现测定值偏小______
小帆同学用刚测完碳酸氢铵溶液pH的玻璃棒直接伸入碱式碳酸铜的上层清液,测其pH______
★失误选项:
A 没有逐滴滴加稀盐酸
B 玻璃棒没有洗净擦干
C 没有将粉末状药品送入试管底部,再将试管直立起来   
D 加入药品太多
E 测定溶液pH值时,先将试纸润湿再蘸取待测液于pH试纸上
F 用滴瓶上的滴管取用氢氧化钠溶液
(2)加热烧杯时应______(“直接”或“间接”)加热,水浴加热的特点是______.
(3)通过本实验和你已学过的化学知识,你认为
①本实验中三种碳酸盐热稳定性由强到弱的顺序是:______.
②酸的溶液______(填“一定”或“不一定”,下同)呈酸性,碱的溶液______呈碱性,盐的溶液______呈中性.
(4)请分别写出碳酸氢铵、碱式碳酸铜和稀盐酸反应的化学方程式:______;______.

查看答案和解析>>

科目: 来源:2012年四川省宜宾市宜宾县复龙镇中考化学模拟试卷(解析版) 题型:选择题

下列自然现象的过程中,存在化学变化的是( )
A.冰雪融化
B.臭氧(O3)吸收紫外线后变成氧气(O2
C.发生沙尘暴天气
D.二氧化碳等物质使地球表面气温升高

查看答案和解析>>

同步练习册答案