相关习题
 0  49395  49403  49409  49413  49419  49421  49425  49431  49433  49439  49445  49449  49451  49455  49461  49463  49469  49473  49475  49479  49481  49485  49487  49489  49490  49491  49493  49494  49495  49497  49499  49503  49505  49509  49511  49515  49521  49523  49529  49533  49535  49539  49545  49551  49553  49559  49563  49565  49571  49575  49581  49589  150026 

科目: 来源:2012-2013学年四川省攀枝花市盐边县红格中学八年级(下)期中生物试卷(解析版) 题型:填空题

在受精卵发育成新个体的过程中,昆虫的幼虫与成体的        差异很大,这种发育过程称为变态发育.

查看答案和解析>>

科目: 来源:2012-2013学年四川省攀枝花市盐边县红格中学八年级(下)期中生物试卷(解析版) 题型:填空题

小麦和玉米利用种子繁殖后代,属于    生殖;甘薯用扦插栽培、苹果用嫁接繁育  优良品种属于    生殖.

查看答案和解析>>

科目: 来源:2012-2013学年四川省攀枝花市盐边县红格中学八年级(下)期中生物试卷(解析版) 题型:填空题

人体具有保卫自身的三道防线,    和黏膜是保卫人体的第一道防线.

查看答案和解析>>

科目: 来源:2012-2013学年四川省攀枝花市盐边县红格中学八年级(下)期中生物试卷(解析版) 题型:填空题

每种生物的根本性状都能够保持相对稳定,这是因为生物的    在起作用;同时,生物又能丰富多彩,不断向前发展,这是因为生物的    在起作用.

查看答案和解析>>

科目: 来源:2012-2013学年四川省攀枝花市盐边县红格中学八年级(下)期中生物试卷(解析版) 题型:填空题

是药三分毒,生活中要做到    .非处方药适于消费者容易自我诊断,自我治疗的小伤小病,简称为   

查看答案和解析>>

科目: 来源:2012-2013学年四川省攀枝花市盐边县红格中学八年级(下)期中生物试卷(解析版) 题型:填空题

生物在繁衍的过程中,会不断地产生变异,其中的许多变异是可以遗传的,这些不断发生的变异是生物    的基础.

查看答案和解析>>

科目: 来源:2012-2013学年四川省攀枝花市盐边县红格中学八年级(下)期中生物试卷(解析版) 题型:填空题

如图是鸡卵结构图,假如这是一枚已受精的鸡卵,将来能够发育成小鸡的结构是[    ]   

查看答案和解析>>

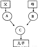
科目: 来源:2012-2013学年四川省攀枝花市盐边县红格中学八年级(下)期中生物试卷(解析版) 题型:填空题

如图表示人的生殖过程示意图(图中A、B、C分别代表不同的细胞).据图回答有关问题.
(1)图中父母的体细胞中染色体数目均为    对.
(2)A、B分别代表父母产生的生殖细胞,则A细胞的名称叫    ,该细胞内含有的染色体数目有    条,该细胞内含有的性染色体是    染色体.
(3)A和B结合形成的C叫做   

查看答案和解析>>

科目: 来源:2012-2013学年四川省攀枝花市盐边县红格中学八年级(下)期中生物试卷(解析版) 题型:填空题

今年入春以来,某市部分学校发生流感疫情,为有效防止学校呼吸道等传染病的暴发和流行,该市卫生部门要求学校采取教室开窗通风、开展卫生大扫除等防控措施,并用消毒剂做好宿舍、教室和餐厅等公共场所的消毒,同时,对未发病的同学可接种流感疫苗.请回答下列问题.
(1)引起流感的病原体是一种    ,它没有细胞结构.
(2)用含氯消毒剂做好宿舍、教室和餐厅及公共场所的消毒,这种预防传染病的措施是    ;对未发病的同学可接种流感疫苗,从免疫的角度讲,注射后,体内会产生相应的    对抗流感病原,这是调动机体的    免疫(选填“特异性“或“特异性“),这种预防传染病的措施是   

查看答案和解析>>

科目: 来源:2012-2013学年四川省攀枝花市盐边县红格中学八年级(下)期中生物试卷(解析版) 题型:填空题

下面是科学家克隆猪的过程示意图,请分析后回答:

a.将胚胎植入猪C的子宫里,几个月后,猪C分娩产下克隆猪D.若A为雄猪,B为雌猪,则猪D的性别为   
b.猪的耳型有垂耳和立耳之分,现有两只垂耳的猪交配,后代中出现立耳的小猪,由此推断,在猪的耳型这对相对性状中    是显性性状.若用T、t分别表示控制耳型的显、隐性基因,则立耳小猪的基因组成为   
c.野猪经过人们长期驯养逐渐驯化出生长快、产肉量高、肉质好的长白猪,这是    选择的结果.这种方式是经过    的不断选择而形成 新品种的过程.

查看答案和解析>>

同步练习册答案