相关习题
 0  50498  50506  50512  50516  50522  50524  50528  50534  50536  50542  50548  50552  50554  50558  50564  50566  50572  50576  50578  50582  50584  50588  50590  50592  50593  50594  50596  50597  50598  50600  50602  50606  50608  50612  50614  50618  50624  50626  50632  50636  50638  50642  50648  50654  50656  50662  50666  50668  50674  50678  50684  50692  150026 

科目: 来源:《8.3 了解自己增进健康》2012年单元测试卷(王台镇中心中学)(解析版) 题型:选择题

健康的生活方式有利于提高生活质量.下列选项中属于健康生活方式的是( )
A.熬夜学习到凌晨
B.为忘掉忧愁而酗酒
C.为减肥不吃早饭
D.不挑食,合理营养

查看答案和解析>>

科目: 来源:《8.3 了解自己增进健康》2012年单元测试卷(王台镇中心中学)(解析版) 题型:选择题

青少年应从小养成健康的生活习惯,下列各项中不属于健康生活习惯的( )
A.生活有规律
B.适量吸烟喝酒
C.合理用药
D.合理膳食

查看答案和解析>>

科目: 来源:《8.3 了解自己增进健康》2012年单元测试卷(王台镇中心中学)(解析版) 题型:解答题

如图为宣泄烦恼的三种方法示意图,据图回答:
(1)日常生活中,你遇到的烦恼主要有哪些?答:______,你是 怎样宣泄这些烦恼的?答______
(2)小明遇到烦心事,他采取图A所示方法宣泄烦恼,不过他是在午夜朋友休息时,打电话诉说烦恼,你认为他这样做合适吗?为什么?答:______
(3)有些人采取图C方法宣泄烦恼,不过宣泄的对象不是沙袋,而是家里的日常用品等,他们这样做会造成哪些不良后果?答______.

查看答案和解析>>

科目: 来源:《8.3 了解自己增进健康》2012年单元测试卷(王台镇中心中学)(解析版) 题型:解答题

仔细阅读下文,分析完成下列问题:资料一:有资料表明,长期吸烟者的肺癌发病率比不吸烟者高10倍到20倍,喉癌发病率高6到10倍,冠心病发病率高2到3倍,循环系统发病率高3倍,气管类发病率高2到8倍.
资料二:我国学者用统计法估算中国人群中因被动吸烟导致肺癌和冠心病的死亡人数,结果表明,在2002年,11000人因被动吸烟而死于肺癌,31300人因被动吸烟死于冠心病.估计因被动吸烟死亡人数超过10万.
(1)烟草在燃烧时,烟雾中含有多种对人体有害的物质,你知道的有哪些?
(2)吸烟对人类有哪些影响?
(3)为减少吸烟和被动吸烟对人体的伤害,我们应采取哪些有效的措施?

查看答案和解析>>

科目: 来源:《8.3 了解自己增进健康》2012年单元测试卷(王台镇中心中学)(解析版) 题型:解答题

如图为15度左右的室温中,测定的不同浓度酒精对水蚤心率的影响线图,据图回答:

(1)计数时应该用______ 吸取多余的水分,避免水蚤跳动难以观察,但水分又不能全部吸干,以免观察不到心脏,每次实验时,先在______观察,再在______ 中观察,并记录数据.
(2)在实验中,小明不同浓度的酒精液中用了一只水蚤进行计数,而小红则在每种浓度的酒精中选用了五只水蚤,取其平均数.在小明和小红的实验方案中,比较科学的是______你的判断理由是______
(3)由酒精对水蚤心率的影响实验,你得出的启示是______.

查看答案和解析>>

科目: 来源:2011-2012学年山东省济宁市嘉祥县萌山中学八年级(下)期中生物试卷(解析版) 题型:选择题

含羞草的部分小叶受到震动后会合拢下垂,这是( )
A.生物对外界刺激做出反应
B.生物的发育
C.生物进行呼吸
D.生物的生长

查看答案和解析>>

科目: 来源:2011-2012学年山东省济宁市嘉祥县萌山中学八年级(下)期中生物试卷(解析版) 题型:选择题

在放大l00倍的显微镜视野中,能看到一行并排的15个洋葱表皮细胞长l5mm,每个洋葱表皮细胞的实际长度是( )
A.0.1mm
B.0.0lmm
C.0.001mm
D.0.000lmm

查看答案和解析>>

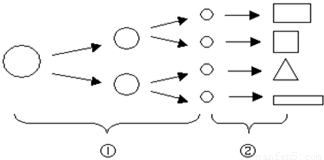
科目: 来源:2011-2012学年山东省济宁市嘉祥县萌山中学八年级(下)期中生物试卷(解析版) 题型:选择题

下图表示细胞的有关生理过程,其中②表示细胞的( )

A.分裂
B.分化
C.生长
D.分泌

查看答案和解析>>

科目: 来源:2011-2012学年山东省济宁市嘉祥县萌山中学八年级(下)期中生物试卷(解析版) 题型:选择题

植物细胞中将太阳能转换为化学能,被誉为能量转换器的是( )
A.细胞质
B.线粒体
C.叶绿体
D.细胞核

查看答案和解析>>

科目: 来源:2011-2012学年山东省济宁市嘉祥县萌山中学八年级(下)期中生物试卷(解析版) 题型:选择题

荒漠中生活的骆驼刺,地下的根比地上部分长的多,这主要是( )
A.骆驼刺喜欢沙土
B.骆驼刺怕被风刮走
C.骆驼刺需要营养物质
D.骆驼刺对缺水环境的适应

查看答案和解析>>

同步练习册答案