相关习题
 0  50880  50888  50894  50898  50904  50906  50910  50916  50918  50924  50930  50934  50936  50940  50946  50948  50954  50958  50960  50964  50966  50970  50972  50974  50975  50976  50978  50979  50980  50982  50984  50988  50990  50994  50996  51000  51006  51008  51014  51018  51020  51024  51030  51036  51038  51044  51048  51050  51056  51060  51066  51074  150026 

科目: 来源:2011-2012学年福建省泉州一中八年级(下)期中生物试卷(解析版) 题型:选择题

在下列血液的成份中,具有防御、保护功能的是( )
A.红细胞
B.血小板
C.白细胞
D.血浆

查看答案和解析>>

科目: 来源:2011-2012学年福建省泉州一中八年级(下)期中生物试卷(解析版) 题型:选择题

肺泡内的气体进入血液需要经过( )
A.一层细胞
B.两层细胞
C.三层细胞
D.四层细胞

查看答案和解析>>

科目: 来源:2011-2012学年福建省泉州一中八年级(下)期中生物试卷(解析版) 题型:选择题

下列过程中,能使静脉血变成动脉血的是( )
A.肺的通气
B.肺泡内的气体交换
C.气体在血液中的运输
D.细胞里的二氧化碳进入血液

查看答案和解析>>

科目: 来源:2011-2012学年福建省泉州一中八年级(下)期中生物试卷(解析版) 题型:选择题

人体呼出的气体,二氧化碳增多了,这二氧化碳产生于( )
A.肺泡
B.组织细胞
C.血液
D.组织液

查看答案和解析>>

科目: 来源:2011-2012学年福建省泉州一中八年级(下)期中生物试卷(解析版) 题型:选择题

如图是某同学在显微镜下观察到的鱼尾鳍内的血液流动情况,据图血液由乙→丙→甲,可以判断甲、乙、丙三种血管分别是( )

A.小动脉、小静脉、毛细血管
B.小静脉、小动脉、毛细血管
C.毛细血管、小动脉、小静脉
D.小静脉、毛细血管、小动脉

查看答案和解析>>

科目: 来源:2011-2012学年福建省泉州一中八年级(下)期中生物试卷(解析版) 题型:选择题

当今社会食品安全问题日益突出,为防止食品腐败变质,应采取的保存方法有( )
①高温  ②低温③保持干燥④保持湿润 ⑤暴露空气中⑥隔绝空气.
A.①③
B.①④⑤
C.②④⑥
D.②③⑥

查看答案和解析>>

科目: 来源:2011-2012学年福建省泉州一中八年级(下)期中生物试卷(解析版) 题型:解答题

观察植物细胞和动物细胞结构图,请据图回答
(1)图中表示动物细胞是______ (填“甲”或“乙”),它是构成动物体______ 和功能的基本单位.
(2)仔细观察图,我们会发现动物细胞不具有:______.
(3)控制物质进出细胞和细胞生命活动的控制中心分别是______.

查看答案和解析>>

科目: 来源:2011-2012学年福建省泉州一中八年级(下)期中生物试卷(解析版) 题型:解答题

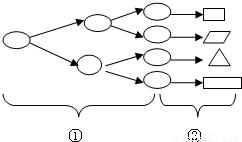
如图表示细胞分裂与分化的过程,请据图回答:
(1)图中①表示______过程,②表示______过程,判断的依据是______.
(2)图中②的结果是形成不同的______.
(3)动物体的结构层次为:______、______、______、______、______.
植物体的结构层次为:______、______、______、______.

查看答案和解析>>

科目: 来源:2011-2012学年福建省泉州一中八年级(下)期中生物试卷(解析版) 题型:解答题

小华发现萝卜埋在地下的部分是白色的,露出地面的部分却呈现出绿色.经仔细观察,他又发现大葱、蒜苗和韭菜也是这样的.这是为什么呢?小华猜想叶绿素的形成可能与光有关.于是,他想利用蒜瓣作为实验材料设计一个方案来验证自己的猜想.
(1)针对小华的疑问,应该提出的假设是______.
(2)小华将一些蒜瓣分别浸泡在甲、乙两个装有水的瓷盘中,两瓷盘中蒜瓣的数量应______.然后将甲盘放在阳光下,乙盘放在完全密闭的纸箱中,其他条件______.
(3)根据假设可以预测,甲盘中长出的蒜苗是______色的,而乙盘中的蒜苗叶是______色的.
(4)在这个设计中,实验变量是______,甲、乙两个装置构成一组______.
(5)小华的上述研究方法属于______法.

查看答案和解析>>

科目: 来源:2011-2012学年福建省泉州一中八年级(下)期中生物试卷(解析版) 题型:解答题

在世博主题馆外壁有一面超大的“绿墙“,这也是世界最大的生态绿化墙面.这面墙是将可回收的废塑料再利用变成植物容器,构建了立体花卉墙.总面积达5000余平方米,每年可吸收二氧化碳4吨.与玻璃幕墙相比可降温5度,使空气清新、湿润.实现上海世博园区的“低碳排放”.
(1)“绿墙”能吸收二氧化碳是因为绿色植物能进行______作用;其反应式是:

反应式中的A表示______  B表示______   C表示______.
(2)“绿墙”与玻璃墙相比可降温5度,并使空气湿润,这是因为植物能进行______作用.

查看答案和解析>>

同步练习册答案