相关习题
 0  51082  51090  51096  51100  51106  51108  51112  51118  51120  51126  51132  51136  51138  51142  51148  51150  51156  51160  51162  51166  51168  51172  51174  51176  51177  51178  51180  51181  51182  51184  51186  51190  51192  51196  51198  51202  51208  51210  51216  51220  51222  51226  51232  51238  51240  51246  51250  51252  51258  51262  51268  51276  150026 

科目: 来源:2009-2010学年辽宁省本溪实验中学八年级(上)期末生物试卷(解析版) 题型:填空题

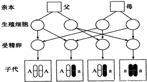
人类皮肤正常由显性基因(A)控制,白化病基因由隐性基因(a)控制,请据下图的遗传图解,回答问题:

(1)父亲的基因组成是    ,母亲的基因组成是   
(2)父亲能产生    种精子,其基因型是   
(3)母亲能产生    种卵细胞,其基因型是   
(4)这对夫妇所生小孩患白化病的可能性为    ,正常的可能性为    ,白化病孩子的基因型为   

查看答案和解析>>

科目: 来源:2009-2010学年辽宁省本溪实验中学八年级(上)期末生物试卷(解析版) 题型:解答题

资料分析:下表为1957年和2003年中国城市主要疾病死亡专率.
顺位1957年2003
死亡原因死亡专率(1/10万)占死亡总人数的%死亡原因死亡专率(1/10万)占死亡总人数的%
1.呼吸系病120.16.86癌症134.5425.47
2.急性传染病56.67.93脑血管病105.419.95
3.肺结核54.67.51呼吸系病77.2914.63
4.消化系病53.17.31心脏病76.2314.43
5.心脏病47.26.61损伤及中毒32.556.16
6.脑血管病39.05.46消化系病19.313.66
7.癌症36.95.17内分泌、营养和代谢疾病14.052.66
注:死亡专率:按疾病的种类、年龄、性别、职业、种族等分类计算的死亡率.
分析问题:
(1)从图表看,近年来导致我国城市居民死亡较高的疾病有哪些?
(2)癌症产生的原因很多,你认为在你生活的环境中,能引起癌症的因素主要有哪些?
(3)我们青少年应该养成哪些有利于健康的生活方式?

查看答案和解析>>

科目: 来源:2009-2010学年四川省眉山市仁寿县联谊学校八年级(上)期中生物试卷(解析版) 题型:选择题

下列关于鳍在鱼游泳时作用的叙述错误的是( )
A.胸鳍、背鳍、腹鳍能维持鱼体的平衡
B.胸鳍能协调转换方向
C.尾鳍决定鱼的方向
D.尾鳍的摆动是鱼游泳的主要动力

查看答案和解析>>

科目: 来源:2009-2010学年四川省眉山市仁寿县联谊学校八年级(上)期中生物试卷(解析版) 题型:选择题

人们在养金鱼的鱼缸内,通常放置一些水草,这样做的主要目的是( )
A.增加观赏价值
B.增加水中氧气
C.提供鱼的食物
D.清除水中杂质

查看答案和解析>>

科目: 来源:2009-2010学年四川省眉山市仁寿县联谊学校八年级(上)期中生物试卷(解析版) 题型:选择题

常见的一种农作物害虫--蜗牛,它具有以下特征:身体柔软,有外套膜,身体表面有贝壳,根据以上特点判断蜗牛属于何类动物?( )
A.腔肠动物
B.软体动物
C.甲壳动物
D.哺乳动物

查看答案和解析>>

科目: 来源:2009-2010学年四川省眉山市仁寿县联谊学校八年级(上)期中生物试卷(解析版) 题型:选择题

下列哪项不是家鸽与飞行生活相适应的特点( )
A.体表被覆羽毛
B.前肢变成翼
C.体内有气囊
D.直肠发达

查看答案和解析>>

科目: 来源:2009-2010学年四川省眉山市仁寿县联谊学校八年级(上)期中生物试卷(解析版) 题型:选择题

骨骼肌在躯体运动中所起的作用是( )
A.支点作用
B.杠杆作用
C.动力作用
D.协调作用

查看答案和解析>>

科目: 来源:2009-2010学年四川省眉山市仁寿县联谊学校八年级(上)期中生物试卷(解析版) 题型:选择题

下列生物不具有社会行为的动物是( )
A.鲫鱼
B.大雁
C.白蚁
D.狒狒

查看答案和解析>>

科目: 来源:2009-2010学年四川省眉山市仁寿县联谊学校八年级(上)期中生物试卷(解析版) 题型:选择题

脊椎动物的学习行为比无脊椎动物更高等,这有利于( )
A.逃避敌害
B.寻找配偶
C.获得食物
D.适应复杂生活环境

查看答案和解析>>

科目: 来源:2009-2010学年四川省眉山市仁寿县联谊学校八年级(上)期中生物试卷(解析版) 题型:选择题

丸花蜂在取食花蜜时,也帮植物传了粉,这说明动物与植物关系是( )
A.动物必须依靠植物生存
B.丸花蜂是寄生虫
C.动物和植物互为敌
D.动物和植物相互适应、相互依存

查看答案和解析>>

同步练习册答案