精英家教网 > 初中数学 > 题目详情

当x=______________时,分式的值是0?

练习册系列答案
相关习题

科目:初中数学 来源:四川省巴中市南江县2016-2017学年七年级下学期期末考试数学试卷 题型:单选题

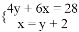
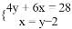
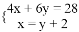
小亮的妈妈用28元钱买了甲、乙两种水果,甲种水果每千克4元,乙种水果每千克6元,且乙种水果比甲种水果少买了2千克,求小亮妈妈两种水果各买了多少千克?设小亮妈妈买了甲种水果x千克,乙种水果y千克,则可列方程组为(  )

A. B. C. D.

查看答案和解析>>

科目:初中数学 来源:吉林省2016-2017学年七年级下学期第二次月考数学试卷 题型:填空题

如图,用8块相同的长方形地砖拼成一个长方形,每块长方形地砖的长和宽分别是多少?

查看答案和解析>>

科目:初中数学 来源:吉林省2016-2017学年七年级下学期第二次月考数学试卷 题型:单选题

下列图形既是中心对称图形又是轴对称图形的是( )

A. B. C. D.

查看答案和解析>>

科目:初中数学 来源:四川省外国语实验学校2016-2017学年八年级下学期第二学段考试数学A卷试卷 题型:填空题

函数的图象上存在点P,点P到x轴的距离等于3,则点P的坐标为________.

查看答案和解析>>

科目:初中数学 来源:四川省外国语实验学校2016-2017学年八年级下学期第二学段考试数学A卷试卷 题型:单选题

一次函数与反比例函数在同一坐标系中的大致图象如下图所示,其中正确的是( )

A. B. C. D.

查看答案和解析>>

科目:初中数学 来源:四川省外国语实验学校2016-2017学年八年级下学期第二学段考试数学A卷试卷 题型:单选题

如果,那么 的值是( )

A. B. C. D.

查看答案和解析>>

科目:初中数学 来源:河北省保定市高阳县2016-2017学年八年级下学期期末考试数学试卷 题型:填空题

如下图,长为8cm的橡皮筋放置在x轴上,固定两端A和B,然后把中点C向上拉升3cm到D,则橡皮筋被拉长了________cm.

查看答案和解析>>

科目:初中数学 来源:四川外语学院重庆第二外国语学校2016-2017学年七年级下学期第二次月考(期中)数学试卷 题型:单选题

如图,直线直线被直线所截,且,若,则的度数是( )

A. B. C. D.

查看答案和解析>>

同步练习册答案