精英家教网 > 初中数学 > 题目详情

一次函数与反比例函数在同一坐标系中的大致图象如下图所示,其中正确的是( )

A. B. C. D.

练习册系列答案
相关习题

科目:初中数学 来源:四川省巴中市南江县2016-2017学年七年级下学期期末考试数学试卷 题型:单选题

已知,则的值是( )

A. -1 B. 1 C. -2016 D. 2016

查看答案和解析>>

科目:初中数学 来源:吉林省2016-2017学年七年级下学期第二次月考数学试卷 题型:填空题

如图,△ABC中,∠C=40°,AD是∠CAB的平分线,BD是△ABC的外角平分线,AD与BD交于点D,那么∠D=_________°.

查看答案和解析>>

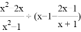
科目:初中数学 来源:四川省外国语实验学校2016-2017学年八年级下学期第二学段考试数学A卷试卷 题型:解答题

先化简再求值:,其中

查看答案和解析>>

科目:初中数学 来源:四川省外国语实验学校2016-2017学年八年级下学期第二学段考试数学A卷试卷 题型:填空题

当x=______________时,分式的值是0?

查看答案和解析>>

科目:初中数学 来源:四川省外国语实验学校2016-2017学年八年级下学期第二学段考试数学A卷试卷 题型:选择题

直线与y轴的交点坐标是( )

A.(4,0) B.(0,4) C.(﹣4,0) D.(0,﹣4)

查看答案和解析>>

科目:初中数学 来源:四川省外国语实验学校2016-2017学年八年级下学期第二学段考试数学A卷试卷 题型:单选题

下列各式中,变形不正确的是 ( )

A. B. C. D.

查看答案和解析>>

科目:初中数学 来源:河北省保定市高阳县2016-2017学年八年级下学期期末考试数学试卷 题型:单选题

如图,一直线与两坐标轴的正半轴分别交于A,B两点,P是线段AB上任意一点(不包括端点),过P分别作两坐标轴的垂线与两坐标轴围成的矩形的周长为10,则该直线的函数表达式是(  )

A. B. C. D.

查看答案和解析>>

科目:初中数学 来源:河北省秦皇岛市2016-2017学年七年级下学期期末考试数学试卷 题型:解答题

某校有学生2100人,在“文明我先行”的活动中,开设了“法律、礼仪、感恩、环保、互助”五门校本课程,规定每位学生必须且只能选择一门。为了解学生的报名意向学校随机调查了100名学生,并制成如下统计表:

(1)在这次调查活动中,学校采取的调查的方式是 (填写“普查”或“抽样调查”)

(2)a= ,b= ,m=

(3)如果要画“校本课程报名意向扇形统计图”,那么“礼仪”类校本课程所对应的扇形圆心角的度数是

(4)请你统计,全校选择“环保”类校本课程的学生约有 人.

查看答案和解析>>

同步练习册答案