精英家教网 > 初中数学 > 题目详情

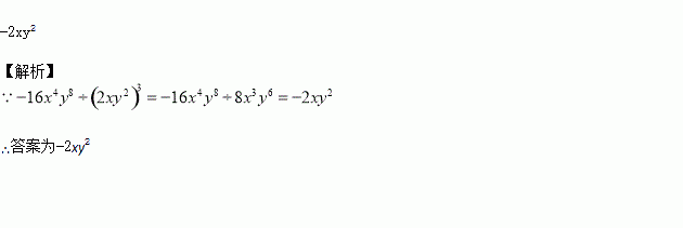
(2xy2)3·(________)=-16x4y8

练习册系列答案
相关习题

科目:初中数学 来源:广东省实验学校2016-2017学年七年级下学期期中考试数学试卷 题型:单选题

已知( )

A. 13 B. 19 C. 26 D. 46

查看答案和解析>>

科目:初中数学 来源:江苏省九年级数学下册 6.3相似图形 专题练习含答案 题型:解答题

如图,AB∥CD、AD∥CE,F、G分别是AC和FD的中点,过G的直线依次交AB、AD、CD、CE于点M、N、P、Q,

求证:MN+PQ=2PN.

查看答案和解析>>

科目:初中数学 来源:江苏省九年级数学下册 6.3相似图形 专题练习含答案 题型:单选题

如图,直线l1∥l2∥l3,一等腰直角三角形ABC的三个顶点A,B,C分别在l1,l2,l3上,∠ACB=90°,AC交l2于点D,已知l1与l2的距离为1,l2与l3的距离为3,则的值为( )

A. B. C. D.

查看答案和解析>>

科目:初中数学 来源:陕西省2016-2017学年七年级下学期第一次周考(2.24)数学试卷 题型:解答题

计算:0.125(a2+b2)3(a-b)2·16(-a2-b2)3(b-a)3.

查看答案和解析>>

科目:初中数学 来源:陕西省2016-2017学年七年级下学期第一次周考(2.24)数学试卷 题型:单选题

下列计算正确的是( )

A. 4a3·2a2=8a6 B. 2x4·3x4=6x8 C. 3x2·4x2=12x2 D. (2ab2)·(-3abc)=-6a2b3

查看答案和解析>>

科目:初中数学 来源:重庆市校2016-2017学年七年级下学期第三次月考数学试卷 题型:解答题

(1)解方程组: (2)解不等式组:

查看答案和解析>>

科目:初中数学 来源:重庆市校2016-2017学年七年级下学期第三次月考数学试卷 题型:单选题

下列长度的各组线段中,能组成一个三角形的是

A. 3,5,10 B. 10,4,6 C. 4,6,9 D. 3,1,1

查看答案和解析>>

科目:初中数学 来源:广西南宁市马山县2016-2017学年七年级(下)期中数学试卷 题型:填空题

将点(0,1)向下平移2个单位,再向左平移4个单位后,所得点的坐标为________ .

查看答案和解析>>

同步练习册答案