精英家教网 > 初中数学 > 题目详情

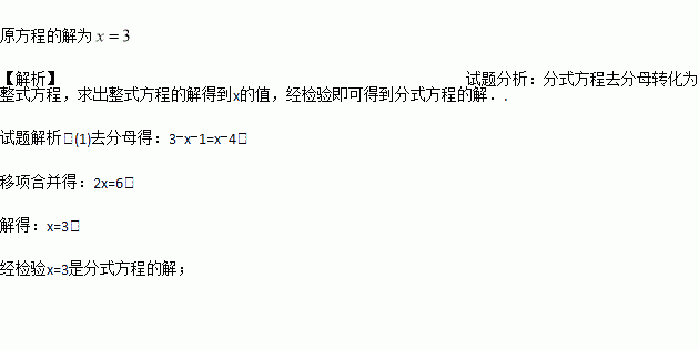
解分式方程

练习册系列答案
相关习题

科目:初中数学 来源:青海省2016-2017学年七年级6月月考数学试卷 题型:单选题

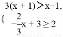
不等式组的整数解是( )

A. -1,0,1 B. 0,1 C. -2,0,1 D. -1,1

查看答案和解析>>

科目:初中数学 来源:北京市2016-2017学年度第二学期七年级数学期中试卷 题型:解答题

计算(1) (2)

查看答案和解析>>

科目:初中数学 来源:北京市2016-2017学年度第二学期七年级数学期中试卷 题型:单选题

如图,要把河中的水引到水池A中,应在河岸B处(AB⊥CD)开始挖渠才能使水渠的长度最短,这样做依据的几何学原理是( )

A. 两点之间线段最短 B. 点到直线的距离

C. 垂线段最短 D. 两点确定一条直线

查看答案和解析>>

科目:初中数学 来源:四川外语学院重庆第二外国语学校2016-2017学年八年级下学期第二次月考数学试卷 题型:解答题

如图,在中, 平分于点,过点于点,过点于点,交于点

(1)若,求的长;

(2)求证:

查看答案和解析>>

科目:初中数学 来源:四川外语学院重庆第二外国语学校2016-2017学年八年级下学期第二次月考数学试卷 题型:填空题

不等式的解集为___________.

查看答案和解析>>

科目:初中数学 来源:四川外语学院重庆第二外国语学校2016-2017学年八年级下学期第二次月考数学试卷 题型:单选题

若分式的值为0,则( )

A. B. C. D.

查看答案和解析>>

科目:初中数学 来源:北京市海淀区2016-2017学年八年级下学期期末考试数学试卷 题型:填空题

第24届冬季奥林匹克运动会,将于2022年2月在北京市和张家口市联合举行.某校寒假期间组织部分滑雪爱好者参加冬令营集训.训练期间,冬令营的同学们都参加了“单板滑雪”这个项目40次的训练测试,每次测试成绩分别为5分,4分,3分,2分,1分五档. 甲乙两位同学在这个项目的测试成绩统计结果如图所示.

根据上图判断,甲同学测试成绩的众数是___;乙同学测试成绩的中位数是___;甲乙两位同学中单板滑雪成绩更稳定的是___.

查看答案和解析>>

科目:初中数学 来源:山东省蒙阴县2016-2017学年七年级下学期期末考试数学试卷 题型:解答题

如图,CD⊥AB于D,点F是BC上任意一点,FE⊥AB于E,且∠1=∠2,∠3=80°.

(1)试证明∠B=∠ADG;

(2)求∠BCA的度数.

查看答案和解析>>

同步练习册答案