精英家教网 > 初中数学 > 题目详情

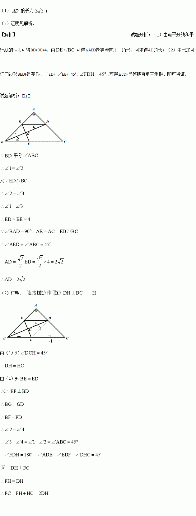
如图,在中, 平分于点,过点于点,过点于点,交于点

(1)若,求的长;

(2)求证:

练习册系列答案
相关习题

科目:初中数学 来源:青海省2016-2017学年七年级6月月考数学试卷 题型:填空题

不等式3x+2≥5的解集是__________.

查看答案和解析>>

科目:初中数学 来源:北京市2016-2017学年度第二学期七年级数学期中试卷 题型:解答题

按要求作图

(1)作BE∥AD交DC于E;

(2)连接AC,作BF∥AC交DC的延长线于F;

(3)作AG⊥DC于G.

查看答案和解析>>

科目:初中数学 来源:北京市2016-2017学年度第二学期七年级数学期中试卷 题型:单选题

下列命题中,真命题是( ).

① 相等的角是对顶角;② 同旁内角互补;③ 在同一平面内,若a//b,b//c,则a//c;④ 末位是零的整数能被5整除.

A. ①② B. ③④ C. ①③ D. ②④

查看答案和解析>>

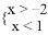
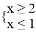
科目:初中数学 来源:北京市2016-2017学年度第二学期七年级数学期中试卷 题型:单选题

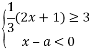
如图所表示的是下面哪一个不等式组的解集( )

A. B. C. D.

查看答案和解析>>

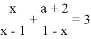
科目:初中数学 来源:四川外语学院重庆第二外国语学校2016-2017学年八年级下学期第二次月考数学试卷 题型:解答题

解分式方程

查看答案和解析>>

科目:初中数学 来源:四川外语学院重庆第二外国语学校2016-2017学年八年级下学期第二次月考数学试卷 题型:单选题

这六个数中,随机选取一个数,记为.若数使关于的不等式组无解,且使关于的分式方程有整数解,那么这六个数中所有满足条件的的值之和是( )

A. B. C. D.

查看答案和解析>>

科目:初中数学 来源:北京市海淀区2016-2017学年八年级下学期期末考试数学试卷 题型:解答题

在平面直角坐标系xOy中,已知点、点,一次函数的图象与直线交于点

(1)求直线的函数解析式及点的坐标;

(2)若点轴上一点,且△的面积为6,求点的坐标.

查看答案和解析>>

科目:初中数学 来源:青海省2016-2017学年八年级6月月考数学试卷 题型:单选题

一次函数y=-x-1的图象不经过的象限是(  )

A. 第一象限 B. 第二象限 C. 第三象限 D. 第四象限

查看答案和解析>>

同步练习册答案