精英家教网 > 初中数学 > 题目详情

如图,AB∥DC,∠A=90°,AE=DC.∠1=∠2,

(1)△BEC是等腰直角三角形吗?并说明理由;

(2)若AB=6,BE=10,求四边形ABCD的面积.

练习册系列答案
相关习题

科目:初中数学 来源:山东阳谷县李台中学2016-2017学年度上期八年级期末自测数学试卷(含答案) 题型:解答题

如图,在平面直角坐标系XOY中,A(-1,5),B(-1,0),C(-4,3).

(1)请画出△ABC关于y轴对称的△A′B′C′(其中A′,B′,C′分别是A,B,C的对应点,不写画法);

(2)直接写出A′,B′,C′三点的坐标:A′( ),B′( ),C′( )

(3)计算△ABC的面积.

查看答案和解析>>

科目:初中数学 来源:云南省红河州个旧市北郊教育联合会2016-2017学年八年级(下)期中数学试卷 题型:单选题

下列计算错误的是(  )

A. B. C. D.

查看答案和解析>>

科目:初中数学 来源:广东省佛山市顺德区2016-2017学年七年级5月月考数学试卷 题型:单选题

星期天,小王去朋友家借书,下图是他离家的距离y(千米)与时间x(分钟)的函数图象,根据图象信息,下列说法正确的是(  )

A. 小王去时的速度大于回家的速度

B. 小王去时走上坡路,回家时走下坡路

C. 小王在朋友家停留了10分钟

D. 小王去时所花的时间少于回家所花的时间

查看答案和解析>>

科目:初中数学 来源:广东省佛山市顺德区2016-2017学年七年级5月月考数学试卷 题型:单选题

空气的密度是0.001293g/cm3,这个数用科学记数法可表示为(  )

A. B. C. D.

查看答案和解析>>

科目:初中数学 来源:浙江省2016-2017学年八年级上学期第二次月考数学试卷 题型:填空题

将点A(2,6)先向下平移8个单位,再向右平移3个单位,所得的点的坐标是______.

查看答案和解析>>

科目:初中数学 来源:浙江省2016-2017学年八年级上学期第二次月考数学试卷 题型:填空题

在△ABC中,已知∠A=40°,∠B=60°,则∠C的大小是______度.

查看答案和解析>>

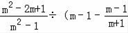
科目:初中数学 来源:山东威海市2016-2017学年八年级(下)4月月考数学试卷(含答案) 题型:解答题

17.化简,求值:),其中m=﹣1.

查看答案和解析>>

科目:初中数学 来源:浙江省杭州市2017届九年级3月月考数学试卷 题型:解答题

如图,在平面直角坐标系中,点A在x轴的负半轴上,B点坐标为(6,0),点C在y轴的负半轴上,且OB=OC,抛物线y=x2+bx+c经过A、B、C三点.

(1)求此抛物线的函数关系式和点A的坐标;

(2)点D的坐标为(0,-2),F为该二次函数图像上的动点,连接BD、BF,以BD、BF为邻边作平行四边形BDEF,

①若点F为该二次函数在第四象限图像上的动点,设平行四边形BDEF的面积为S。求S的最大值。

②在点F的运动过程中,当点E落在一次函数y=x+7上时,求点F的坐标。

查看答案和解析>>

同步练习册答案