精英家教网 > 初中数学 > 题目详情

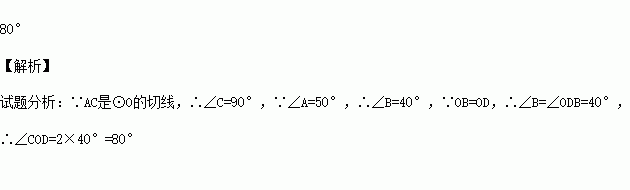
如图,的切线,切点为的直径,于点,连接,若,则的度数为

练习册系列答案
相关习题

科目:初中数学 来源:2017年初中毕业升学考试(贵州安顺卷)数学(解析版) 题型:选择题

如图是根据某班40名同学一周的体育锻炼情况绘制的条形统计图.那么该班40名同学一周参加体育锻炼时间的众数、中位数分别是( )

A.16,10.5 B.8,9 C.16,8.5 D.8,8.5

查看答案和解析>>

科目:初中数学 来源:2017年初中毕业升学考试(黑龙江绥化卷)数学(解析版) 题型:填空题

半径为2的圆内接正三角形,正四边形,正六边形的边心距之比为

查看答案和解析>>

科目:初中数学 来源:2017年初中毕业升学考试(黑龙江绥化卷)数学(解析版) 题型:选择题

如图,直线被直线所截,,下列条件中能判定的是( )

A. B. C. D.

查看答案和解析>>

科目:初中数学 来源:2017年初中毕业升学考试(黑龙江齐齐哈尔卷)数学(解析版) 题型:解答题

先化简,再求值:,其中

查看答案和解析>>

科目:初中数学 来源:2017年初中毕业升学考试(黑龙江齐齐哈尔卷)数学(解析版) 题型:选择题

如图,抛物线)的对称轴为直线,与轴的一个交点在之间,其部分图象如图所示,则下列结论:①;②;③;④为实数);⑤点是该抛物线上的点,则,正确的个数有( )

A.4个 B.3个 C.2个 D.1个

查看答案和解析>>

科目:初中数学 来源:2017年初中毕业升学考试(黑龙江齐齐哈尔卷)数学(解析版) 题型:选择题

作为“一带一路”倡议的重大先行项目,中国、巴基斯坦经济走廊建设进展快、成效显著.两年来,已有18个项目在建或建成,总投资额达185亿美元.185亿用科学记数法表示为( )

A. B. C. D.

查看答案和解析>>

科目:初中数学 来源:2017年初中毕业升学考试(黑龙江龙东地区卷)数学(解析版) 题型:选择题

一组从小到大排列的数据:a,3,4,4,6(a为正整数),唯一的众数是4,则该组数据的平均数是( )

A.3.6 B.3.8 C.3.6或3.8 D.4.2

查看答案和解析>>

科目:初中数学 来源:2017年初中毕业升学考试(湖南郴州卷)数学(解析版) 题型:解答题

如图,是边长为的等边三角形,边在射线上,且,点从点出发,沿的方向以的速度运动,当不与点重合是,将绕点逆时针方向旋转得到,连接.

(1)求证:是等边三角形;

(2)当时,的周长是否存在最小值?若存在,求出的最小周长;

若不存在,请说明理由.

(3)当点在射线上运动时,是否存在以为顶点的三角形是直角三角形?

若存在,求出此时的值;若不存在,请说明理由.

查看答案和解析>>

同步练习册答案