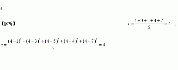
科目:初中数学 来源:苏科版七年级下册数学第八章 幂的运算 单元测试 题型:解答题
阅读下列一段话,并解决后面的问题.
观察下面一列数:1,2,4,8,……我们发现,这列数从第二项起,每一项与它前一项的比值都是2.我们把这样的一列数叫做等比数列,这个共同的比值叫做等比数列的公比.
(1)等比数列5,-10,20,……的第4项是_____________;
(2)如果一列数
1,
2,
3,……是等比数列,且公比是q,那么根据上述规定有
,
,
,……因此,可以得到
2=
1q,
3=
2q=
1q·q=
1q2,
4=
3q=
1q2·q=
1q3,……则
n=____________;(用含
1与q的代数式表示)
(3)一个等比数列的第2项是6,第3项是-18,求它的第1项和第4项.
查看答案和解析>>
科目:初中数学 来源:内蒙古毕业第一次模拟考试数学试卷 题型:填空题
新定义:[a,b]为一次函数y=ax+b(a≠0,a,b为实数的“关联数”.若“关联数”为
的一次函数是正比例函数,则关于
的方程
的解为____.
查看答案和解析>>
科目:初中数学 来源:江苏省盐城市2017届九年级下学期第三次模拟考试数学试卷 题型:解答题
如图,为了测量山顶铁塔AE的高,小明在27m高的楼CD底部D测得塔顶A的仰角为45°,在楼顶C测得塔顶A的仰角36°52′.已知山高BE为56m,楼的底部D与山脚在同一水平线上,求该铁塔的高AE.(参考数据:sin36°52′≈0.60,tan36°52′≈0.75)
![]()
查看答案和解析>>
科目:初中数学 来源:江苏省盐城市2017届九年级下学期第三次模拟考试数学试卷 题型:填空题
如图,在平面直角坐标系中,点P(3,4),⊙P半径为2,A(2.6,0),B(5.2,0),点M是⊙P上的动点,点C是MB的中点,则AC的最小值为_____________.
![]()
查看答案和解析>>
科目:初中数学 来源:江苏省盐城市2017届九年级下学期第三次模拟考试数学试卷 题型:单选题
如图,平行四边形ABCD的顶点C在y轴正半轴上,CD平行于x轴,直线AC交x轴于点E,BC⊥AC,连接BE,反比例函数
(x>0)的图象经过点D.已知S△BCE=1,则k的值是( )
![]()
A. 2 B. ﹣2 C. 3 D. 4
查看答案和解析>>
科目:初中数学 来源:湖南省衡阳市2017届中考模拟数学试卷 题型:解答题
如图,已知,A(0,4),B(﹣3,0),C(2,0),D为B点关于AC的对称点,反比例函数y=
的图象经过D点.
![]()
(1)证明四边形ABCD为菱形;
(2)求此反比例函数的解析式;
(3)已知在y=
的图象(x>0)上一点N,y轴正半轴上一点M,且四边形ABMN是平行四边形,求M点的坐标.
查看答案和解析>>
科目:初中数学 来源:湖南省衡阳市2017届中考模拟数学试卷 题型:单选题
将直线y=-2x向下平移两个单位,所得到的直线为( )
A. y=-2(x+2) B. y=-2(x-2) C. y=-2x+2 D. y=-2x-2
查看答案和解析>>
科目:初中数学 来源:江苏省靖江市2016届九年级下学期中考复习周练(五)(4.21)数学试卷 题型:解答题
已知函数y=mx2-6x+1(m是常数).
(1)求证:不论m为何值,该函数的图象都经过y轴上的一个定点;
(2)若该函数的图象与x轴只有一个交点,求m的值.
查看答案和解析>>
湖北省互联网违法和不良信息举报平台 | 网上有害信息举报专区 | 电信诈骗举报专区 | 涉历史虚无主义有害信息举报专区 | 涉企侵权举报专区
违法和不良信息举报电话:027-86699610 举报邮箱:58377363@163.com