精英家教网 > 初中数学 > 题目详情

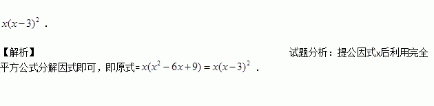
分解因式:x3﹣6x2+9x=________________.

练习册系列答案
相关习题

科目:初中数学 来源:江西省景德镇市2017学年第三次质量检测试卷九年级数学及标准答案 题型:填空题

某市常住人口约为5240000人,数字5240000用科学记数法表示______;

查看答案和解析>>

科目:初中数学 来源:天津市 2017年九年级数学中考模拟试卷(含答案) 题型:解答题

如图,在正方形ABCD中,点E,N,P,G分别在边AB,BC,CD,DA上,点M,F,Q都在对角线BD上,且四边形MNPQ和AEFG均为正方形,则的值等于

查看答案和解析>>

科目:初中数学 来源:天津市 2017年九年级数学中考模拟试卷(含答案) 题型:解答题

如图,在平面直角坐标系中,矩形OCDE的顶点C和E分别在y轴的正半轴和x轴的正半轴上,OC=8,OE=17,抛物线y=x2﹣3x+m与y轴相交于点A,抛物线的对称轴与x轴相交于点B,与CD交于点K.

(1)将矩形OCDE沿AB折叠,点O恰好落在边CD上的点F处.

①点B的坐标为( ),BK的长是 ,CK的长是

②求点F的坐标;

③请直接写出抛物线的函数表达式;

(2)将矩形OCDE沿着经过点E的直线折叠,点O恰好落在边CD上的点G处,连接OG,折痕与OG相交于点H,点M是线段EH上的一个动点(不与点H重合),连接MG,MO,过点G作GP⊥OM于点P,交EH于点N,连接ON,点M从点E开始沿线段EH向点H运动,至与点N重合时停止,△MOG和△NOG的面积分别表示为S1和S2,在点M的运动过程中,S1•S2(即S1与S2的积)的值是否发生变化?若变化,请直接写出变化范围;若不变,请直接写出这个值.

温馨提示:考生可以根据题意,在备用图中补充图形,以便作答.

查看答案和解析>>

科目:初中数学 来源:天津市 2017年九年级数学中考模拟试卷(含答案) 题型:填空题

如图,锐角三角形ABC的边AB,AC上的高CE,BF相交于点D,请写出图中两对相似三角形 .

查看答案和解析>>

科目:初中数学 来源:天津市 2017年九年级数学中考模拟试卷(含答案) 题型:单选题

若关于x的一元二次方程为ax2+bx+5=0(a≠0)的解是x=1,则2013﹣a﹣b的值是( )

A. 2018 B. 2008 C. 2014 D. 2012

查看答案和解析>>

科目:初中数学 来源:天津市 2017年九年级数学中考模拟试卷(含答案) 题型:单选题

计算(-3)-(-6)的结果等于( )

A. 3 B. -3 C. 9 D. 18

查看答案和解析>>

科目:初中数学 来源:四川省岳池县酉溪学区2015-2016学年八年级下学期第二次月考数学试卷 题型:单选题

□ABCD的面积为48,E为AB的中点,对角线AC、BD相交于O,连接DE,则△ODE的面积为

A. 8 B. 6  C. 4 D. 3

查看答案和解析>>

科目:初中数学 来源:山东省威海市文登区八校(五四学制)2016-2017学年七年级下学期期中考试数学试卷 题型:填空题

如果方程组无解,那么直线不经过第________象限.

查看答案和解析>>

同步练习册答案