精英家教网 > 初中数学 > 题目详情

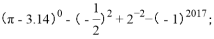
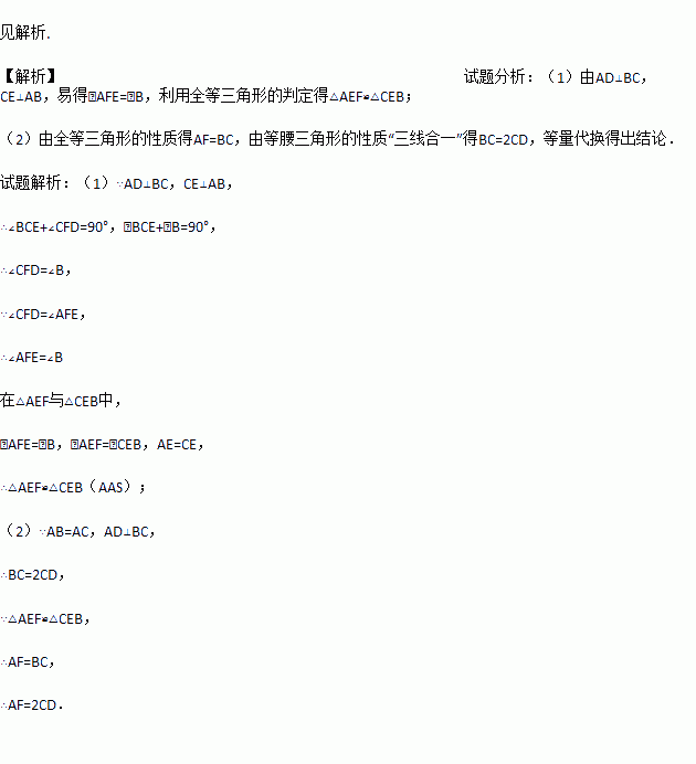
如图,△ABC中,AB=AC,AD⊥BC,CE⊥AB,AE=CE.求证:

(1)△AEF≌△CEB;

(2)AF=2CD.

练习册系列答案
相关习题

科目:初中数学 来源:江苏省泰兴市2016-2017学年七年级下学期期末考试数学试卷 题型:解答题

如图在每个小正方形边长为1的方格纸中,△ABC的顶点都在方格纸格点上.

(1)△ABC的面积为______;

(2)将△ABC经过平移后得到△A′B′C′,图中标出了点B的对应点B′,补全△A′B′C′;

(3)若连接AA′,BB′,则这两条线段之间的关系是______;

(4)在图中画出△ABC的高CD.

查看答案和解析>>

科目:初中数学 来源:江苏省扬州市2016-2017学年七年级下学期第一次月考数学试卷 题型:解答题

已知,求①的值; ② 的值

查看答案和解析>>

科目:初中数学 来源:江苏省扬州市2016-2017学年七年级下学期第一次月考数学试卷 题型:单选题

如果∠α与∠β的两边分别平行,∠α比∠β的3倍少36°,则∠α的度数是( )

A. 18° B. 126° C. 18°或126° D. 以上都不对

查看答案和解析>>

科目:初中数学 来源:江苏省扬州市2016-2017学年七年级下学期第一次月考数学试卷 题型:单选题

下列现象是数学中的平移的是( )

A. 树叶从树上落下 B. 电梯从底楼升到顶楼

C. 碟片在光驱中运行 D. 卫星绕地球运动

查看答案和解析>>

科目:初中数学 来源:江苏省兴化市顾庄学区三校2016-2017学年七年级下学期期末考试数学试卷 题型:解答题

计算:(1)

(2)已知x2+x﹣5=0,求代数式(x﹣1)2﹣x(x﹣3)+(x+2)(x﹣2)的值.

查看答案和解析>>

科目:初中数学 来源:江苏省兴化市顾庄学区三校2016-2017学年七年级下学期期末考试数学试卷 题型:填空题

命题“如果a>b,那么ac>bc ” 的逆命题是______命题(填“真”或“假”).

查看答案和解析>>

科目:初中数学 来源:四川省外国语实验学校2017届九年级第二次模拟考试数学试卷 题型:解答题

先化简,再求值:,其中

查看答案和解析>>

科目:初中数学 来源:江苏省扬州市江都区2016-2017学年七年级下学期期末考试数学试卷 题型:单选题

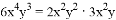
下列各式从左边到右边的变形是因式分解的是

A. B.

C. D.

查看答案和解析>>

同步练习册答案