精英家教网 > 初中数学 > 题目详情

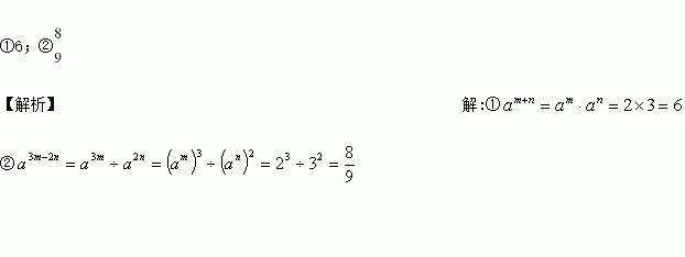
已知,求①的值; ② 的值

练习册系列答案
相关习题

科目:初中数学 来源:山东省淄博市2016-2017学年八年级下学期期中考试数学试卷 题型:单选题

下列方程组中,属于二元一次方程组的是 ( )

A. B. C. D.

查看答案和解析>>

科目:初中数学 来源:江苏省泰兴市2016-2017学年七年级下学期期末考试数学试卷 题型:填空题

如图,AB∥CD,则∠1+∠3—∠2的度数等于 __________.

查看答案和解析>>

科目:初中数学 来源:福建省南平市2016-2017学年七年级下学期期末考试数学试卷 题型:单选题

今年我市约有36000名学生参加初中毕业会考,为了了解这36000名学生的数学成绩,准备从中随机抽取1200 名学生的数学成绩进行统计分析,那么你的数学成绩被抽中的概率为 (    )

A. B. C. D.

查看答案和解析>>

科目:初中数学 来源:福建省南平市2016-2017学年七年级下学期期末考试数学试卷 题型:单选题

如图,AD∥BE,∠GBE的平分线BF的反向延长线交AD的反向延长线于M点,若∠BAD=70°,则∠M的度数为 (    )

A. 20° B. 35° C. 45° D. 70°

查看答案和解析>>

科目:初中数学 来源:江苏省扬州市2016-2017学年七年级下学期第一次月考数学试卷 题型:解答题

比较大小(说明理由)

查看答案和解析>>

科目:初中数学 来源:江苏省扬州市2016-2017学年七年级下学期第一次月考数学试卷 题型:填空题

如图所示,是用一张长方形纸条折成的.如果∠1=100°,那么∠2= 度.

查看答案和解析>>

科目:初中数学 来源:江苏省兴化市顾庄学区三校2016-2017学年七年级下学期期末考试数学试卷 题型:解答题

如图,△ABC中,AB=AC,AD⊥BC,CE⊥AB,AE=CE.求证:

(1)△AEF≌△CEB;

(2)AF=2CD.

查看答案和解析>>

科目:初中数学 来源:四川省外国语实验学校2017届九年级第二次模拟考试数学试卷 题型:单选题

已知一个直角三角形的两条直角边的长恰好是方程的两个根,则这个直角三角形的斜边长是( )

A. B. 3 C. 6 D. 9

查看答案和解析>>

同步练习册答案