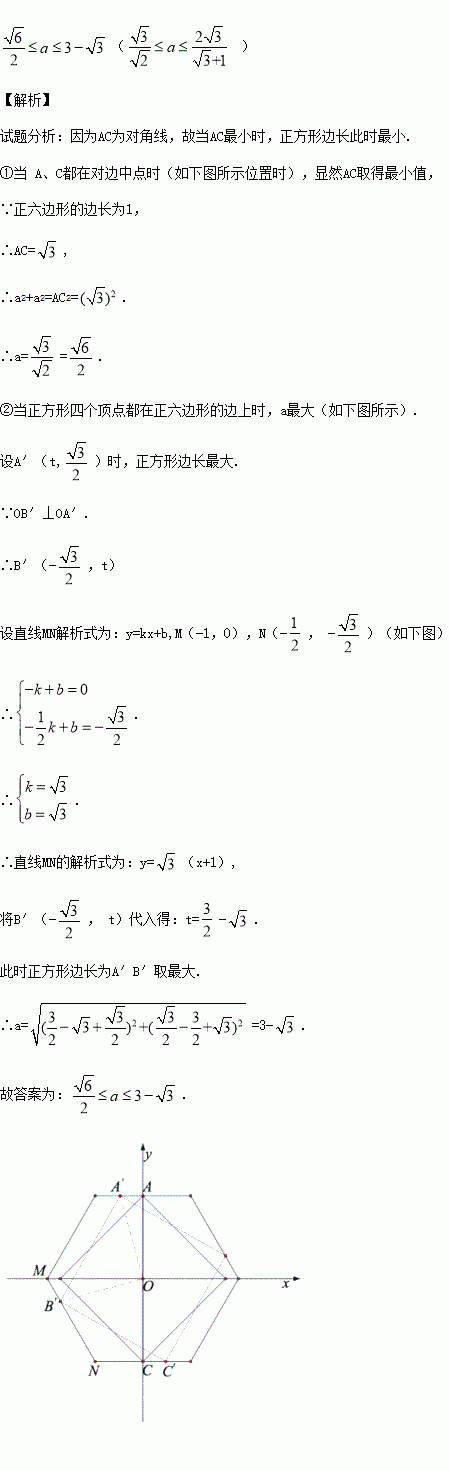
如图,有一个边长不定的正方形
,它的两个相对的顶点
分别在边长为1的正六边形一组平行的对边上,另外两个顶点
在正六边形内部(包括边界),则正方形边长
的取值范围是 .
![]()
科目:初中数学 来源:2017年初中毕业升学考试(山东东营卷)数学(解析版) 题型:选择题
如图,在?ABCD中,用直尺和圆规作∠BAD的平分线AG交BC于点E.若BF=8,AB=5,则AE的长为( )
![]()
A.5 B.6 C.8 D.12
查看答案和解析>>
科目:初中数学 来源:重庆市 2017年九年级数学中考模拟试卷(含答案) 题型:解答题
如图,在平面直角坐标系中,反比例函数y=kx-1(x>0)的图象经过点A(1,2)和点B(m,n)(m>1),过点B作y轴的垂线,垂足为C.
(1)求该反比例函数解析式;
(2)当△ABC面积为2时,求点B的坐标.
(3)P为线段AB上一动点(P不与A、B重合),在(2)的情况下,直线y=ax﹣1与线段AB交于点P,直接写出a的取值范围.
![]()
查看答案和解析>>
科目:初中数学 来源:重庆市 2017年九年级数学中考模拟试卷(含答案) 题型:单选题
在娱乐节目“墙来了!”中,参赛选手背靠水池,迎面冲来一堵泡沫墙,墙上有人物造型的空洞.选手需要按墙上的造
型摆出相同的姿势,才能穿墙而过,否则会被墙推入水池.类似地,有一块几何体恰好能以右图中两个不同形状的“姿势” 分别穿过这两个空洞,则该几何体为( )
![]()
A.
B.
C.
D. ![]()
查看答案和解析>>
科目:初中数学 来源:2017年初中毕业升学考试(浙江台州卷)数学(解析版) 题型:解答题
家庭过期药品属于“国家危险废物”,处理不当将污染环境,危害健康.某市药监部门为了解市民家庭处理过期药品的方式,决定对全市家庭作一次简单随机抽样调査.
(1)下列选取样本的方法最合理的一种是 .(只需填上正确答案的序号)
①在市中心某个居民区以家庭为单位随机抽取;②在全市医务工作者中以家庭为单位随机抽取;③在全市常住人口中以家庭为单位随机抽取.
(2)本次抽样调査发现,接受调査的家庭都有过期药品.现将有关数据呈现如下图:
![]()
①
,
;
②补全条形统计图;
③根据调査数据,你认为该市市民家庭处理过期药品最常见的方式是什么?
④家庭过期药品的正确处理方式是送回收点,若该市有180万户家庭,请估计大约有多少户家庭处理过期药品的方式是送回收点.
查看答案和解析>>
科目:初中数学 来源:2017年初中毕业升学考试(浙江台州卷)数学(解析版) 题型:选择题
有五名射击运动员,教练为了分析他们成绩的波动程度,应选择下列统计量中的( )
A.方差 B.中位数 C.众数 D.平均数
查看答案和解析>>
科目:初中数学 来源:2017年初中毕业升学考试(浙江杭州卷)数学(解析版) 题型:选择题
如图,在△ABC中,AB=AC,BC=12,E为AC边的中点,线段BE的垂直平分线交边BC于点D.设BD=x,tan∠ACB=y,则( )
![]()
A. x-y2=3 B. 2x-y2=9 C. 3x-y2=15 D. 4x-y2=21
查看答案和解析>>
科目:初中数学 来源:2017年初中毕业升学考试(山东潍坊卷)数学(解析版) 题型:填空题
如图,将一张矩形纸片
的边
斜着向
边对折,使点
落在
上,记为
,折痕为
;再将
边斜向下对折,使点
落在
上,记为
,折痕为
,
,
.则矩形纸片
的面积为 .
![]()
查看答案和解析>>
湖北省互联网违法和不良信息举报平台 | 网上有害信息举报专区 | 电信诈骗举报专区 | 涉历史虚无主义有害信息举报专区 | 涉企侵权举报专区
违法和不良信息举报电话:027-86699610 举报邮箱:58377363@163.com