精英家教网 > 初中数学 > 题目详情
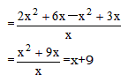
先化简后求值:其中x=
练习册系列答案
相关习题

科目:初中数学 来源: 题型:

先化简后求值。
其中

查看答案和解析>>

科目:初中数学 来源: 题型:

先化简后求值。
其中

查看答案和解析>>

科目:初中数学 来源:2011-2012学年广东省湛江市七年级第一学期月考数学卷四 题型:计算题

先化简后求值。
其中

查看答案和解析>>

科目:初中数学 来源:2011-2012学年广东省湛江市七年级第一学期七年级月考考试四 题型:解答题

先化简后求值。
其中

查看答案和解析>>

科目:初中数学 来源:2014届广东省湛江市七年级第一学期月考数学卷四 题型:解答题

先化简后求值。

    其中

 

查看答案和解析>>

同步练习册答案