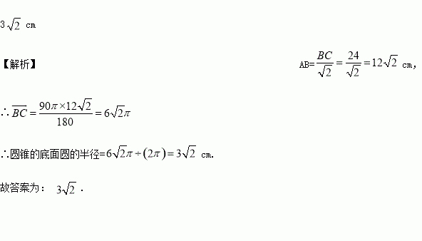
如图,从一块直径为24cm的圆形纸片上剪出一个圆心角为90°的扇形ABC,使点A,B,C在圆周上,将剪下的扇形作为一个圆锥的侧面,则这个圆锥的底面圆的半径是 ____________
![]()
科目:初中数学 来源:2#241266#3#7#17#2017#辽宁省大石桥市2017届九年级中考模拟数学试卷#17#1 题型:填空题
对甲、乙两台机床生产的同一种零件进行抽样检测(零件个数相同),其平均数、方差的计算结果是:机床甲:
,
;机床乙:
,
.由此可知:_______(填甲或乙)机床性能较好.
查看答案和解析>>
科目:初中数学 来源:2#241248#3#3#9#2017#湖北省鄂州市梁子湖区2017届九年级下学期第三次月考数学试卷#9#1 题型:解答题
已知关于
的一元二次方程
有两个实数根
和
.
(1)求实数
的取值范围; (2)当
时,求
的值.
查看答案和解析>>
科目:初中数学 来源:2#241248#3#3#9#2017#湖北省鄂州市梁子湖区2017届九年级下学期第三次月考数学试卷#9#1 题型:单选题
下列计算正确的是
A.
B.
C.
D. ![]()
查看答案和解析>>
科目:初中数学 来源:2#241220#3#7#17#2017#辽宁省大石桥市2017届九年级中考模拟数学试卷#17#1 题型:解答题
张家界市为了治理城市污水,需要铺设一段全长为300米的污水排放管道,铺设120米后,为了尽可能减少施工对城市交通所造成的影响,后来每天的工作量比原计划增加20%,结果共用了27天完成了这一任务,求原计划每天铺设管道多少米?
查看答案和解析>>
科目:初中数学 来源:2#241220#3#7#17#2017#辽宁省大石桥市2017届九年级中考模拟数学试卷#17#1 题型:填空题
2016年第四季度全国网上商品零售额6310亿元,将6310亿元用科学记数法表示应为 _______元
查看答案和解析>>
科目:初中数学 来源:2#241220#3#7#17#2017#辽宁省大石桥市2017届九年级中考模拟数学试卷#17#1 题型:单选题
下表是某校合唱团成员的年龄分布:
年龄/岁 | 13 | 14 | 15 | 16 |
频数 | 5 | 15 | x | 10﹣x |
对于不同的x,下列关于年龄的统计量不会发生改变的是( )
A. 平均数、中位数 B. 众数、中位数 C. 平均数、方差 D. 中位数、方差
查看答案和解析>>
科目:初中数学 来源:2#241203#3#7#3#2017#天津市河东区2017年九年级数学中考预测题(含答案)#3#3 题型:单选题
将函数y=x2+x的图象向右平移a(a>0)个单位,得到函数y=x2-3x+2的图象,则a的值为( )
A. 1 B. 2 C. 3 D. 4
查看答案和解析>>
科目:初中数学 来源:2#241352#2#6#15#2017#湖南省邵阳市2016~2017学年八年级数学(下)期末质量检测模拟试卷(含答案)#15#1 题型:解答题
2014 年 3月25日是全国中小学生安全教育日,某学校为加强学生的安全意识,组织了全校1 500名学生参加安全知识竞赛,从中抽取了部分学生成绩(得分取正整数,满分为100分)进行统计.请根据尚未完成的频数分布表和频数直方图,解答下列问题:
![]()
(1)这次抽取了 名学生的竞赛成绩进行统计,其中,m= ,n= ;
(2)补全频数直方图;
(3)若成绩在70分以下(含70分)的学生安全意识不强,有待进一步加强安全教育,则该校安全意识不强的学生约有多少人?
查看答案和解析>>
湖北省互联网违法和不良信息举报平台 | 网上有害信息举报专区 | 电信诈骗举报专区 | 涉历史虚无主义有害信息举报专区 | 涉企侵权举报专区
违法和不良信息举报电话:027-86699610 举报邮箱:58377363@163.com