精英家教网 > 初中数学 > 题目详情
正方形边长为4,M、N分别是上的两个动点,当点M在上运动时,保持和MN垂直,
(1)证明:
(2)设,梯形的面积为y,求y与x之间的函数关系式;当M点运动到什么位置时,四边形面积最大,并求出最大面积;
(3)当M点运动到什么位置时,求x的值.
解:(1)在正方形中,



中,


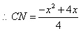
(2)



时,y取最大值,最大值为10.
(3)
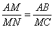
∴要使,必须有
由(1)知,

∴当点M运动到BC的中点时,,此时
练习册系列答案
相关习题

科目:初中数学 来源: 题型:

精英家教网如图,在网格(网格的正方形边长为1)中,格点四边形ABCD是菱形,则此四边形ABCD的面积等于(  )
A、6
B、12
C、4
13
D、无法计算

查看答案和解析>>

科目:初中数学 来源: 题型:

如图,小正方形边长为1,则△ABC中AC边上的高等于
3
5
5
3
5
5

查看答案和解析>>

科目:初中数学 来源: 题型:

如图,四边形ABCD是正方形,点G是BC边上任意一点,DE⊥AG于E,BF∥DE,交AG于F.
(1)求证:△AED≌△BFA;
(2)猜想AF、BF、EF三者之间的数量关系,并给出证明;
(3)将△ABF绕点A逆时针旋转,使得AB与AD重合,记此时点F的对应点为点F′.若正方形边长为3,求点F′与旋转前的图中点E之间的距离.

查看答案和解析>>

科目:初中数学 来源: 题型:

一个正方形边长为3×10-2米,则面积为
9×10-4
9×10-4
平方米(用科学记数法表示).

查看答案和解析>>

科目:初中数学 来源: 题型:

教材第九章中探索乘法公式时,设置由图形面积的不同表示方法验证了乘法公式.我国著名的数学家赵爽,早在公元3世纪,就把一个矩形分成四个全等的直角三角形,用四个全等的直角三角形拼成了一个大的正方形(如图1),这个图形称为赵爽弦图,验证了一个非常重要的结论:在直角三角形中两直角边a、b与斜边c满足关系式a2+b2=c2,称为勾股定理.

(1)爱动脑筋的小明把这四个全等的直角三角形拼成了另一个大的正方形(如图2),也能验证这个结论,请你帮助小明完成验证的过程.
(2)小明又把这四个全等的直角三角形拼成了一个梯形(如图3),利用上面探究所得结论,求当a=3,b=4时梯形ABCD的周长.(3)如图4,在每个小正方形边长为1的方格纸中,△ABC的顶点都在方格纸格点上.请在图中画出△ABC的高BD,利用上面的结论,求高BD的长.

查看答案和解析>>

同步练习册答案