精英家教网 > 初中数学 > 题目详情

如图,已知△ABC的三个顶点在格点上.

(1)作出与△ABC关于原点对称的图形△A1B1C1;

(2)求出△A1B1C1的面积.

练习册系列答案
相关习题

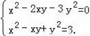
科目:初中数学 来源:上海市闵行区2016-2017学年八年级(下)期末数学试卷 题型:解答题

解方程组:

查看答案和解析>>

科目:初中数学 来源:吉林省长春市等五校2016-2017学年八年级上学期第一次素质教育交流研讨考试数学试卷 题型:单选题

8的平方根和立方根分别是 ( )

A. 8 和4 B. 和2 C. 和8 D. 和2

查看答案和解析>>

科目:初中数学 来源:江西省赣州市2016-2017学年七年级(上)期中数学试卷 题型:填空题

比较大小:﹣2_____﹣5.(请在横线上填上“<”、“>”、或者“=”)

查看答案和解析>>

科目:初中数学 来源:江苏省仪征市2016-2017学年八年级12月月考数学试卷 题型:解答题

如图,直线与x轴、轴分别相交于点C、B,与直线相交于

点A.

(1)点B、点C和点A的坐标分别是(0,   )、(  ,0)、(     );

(2)求两条直线与轴围成的三角形的面积;

(3)在坐标轴上是否存在一点Q,使△OAQ的面积等于6,若存在请直接写出Q点的坐标,若不存在,请说明理由.

查看答案和解析>>

科目:初中数学 来源:江苏省仪征市2016-2017学年八年级12月月考数学试卷 题型:填空题

一次函数的图象如右图所示,则不等式0≤<5的解集为    

查看答案和解析>>

科目:初中数学 来源:江苏省仪征市2016-2017学年八年级12月月考数学试卷 题型:单选题

下列说法:

①若三角形一边上的中线和这边上的高重合,则这个三角形是等腰三角形;

②若等腰三角形一腰上的高与底边的夹角为20°,则顶角为40°;

③如果直角三角形的两边长分别为3、4,那么斜边长为5;

④斜边上的高和一直角边分别相等的两个直角三角形全等.

其中正确的说法有( )

A. 1个 B. 2个 C. 3个 D. 4个

查看答案和解析>>

科目:初中数学 来源:黑龙江省大庆市林甸县2016-2017学年八年级(下)期末模拟试卷 题型:解答题

解不等式组

查看答案和解析>>

科目:初中数学 来源:广东省汕头市2016-2017学年八年级上学期期中考试数学试卷 题型:单选题

如图所示,亮亮书上的三角形被墨迹污染了一部分,很快他就根据所学知识画出一个与书上完全一样的三角形,那么这两个三角形完全一样的依据是( )

A. SSS B. SAS C. AAS D. ASA

查看答案和解析>>

同步练习册答案