精英家教网 > 初中数学 > 题目详情
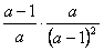
先化简:,并任选一个你喜欢的数a代入求值。
解:原式=
=
=
当a=2时(a≠0,1),原式=1(答案不唯一)。
练习册系列答案
相关习题

科目:初中数学 来源: 题型:解答题

先化简,数学公式,并任选一个你喜欢的数x代入求值.

查看答案和解析>>

科目:初中数学 来源: 题型:解答题

先化简:数学公式,并任选一个你喜欢的数a代入求值.

查看答案和解析>>

科目:初中数学 来源:2013年江苏省连云港市灌云县中考数学模拟试卷(六)(解析版) 题型:解答题

先化简:,并任选一个你喜欢的数a代入求值.

查看答案和解析>>

科目:初中数学 来源:2009年黑龙江省牡丹江市中考数学试卷(解析版) 题型:解答题

(2009•鸡西)先化简:,并任选一个你喜欢的数a代入求值.

查看答案和解析>>

科目:初中数学 来源:2009年黑龙江省鸡西市中考数学试卷(解析版) 题型:解答题

(2009•鸡西)先化简:,并任选一个你喜欢的数a代入求值.

查看答案和解析>>

同步练习册答案