精英家教网 > 初中数学 > 题目详情

△ABC中,点H是BC上一点,D、E分别是AB、AC中点,M、N分别为BH、CH中点

(1)如图1,求证:四边形DENM是平行四边形.

(2)如图2,当AH与BC满足什么关系时,□DENM是正方形,请直接写出结论.

(3)当AH与BC满足(2)中的关系,且S△ABC=2时,若点P为AB边上的动点,过点P作PQ⊥BC于Q,PG∥BC交AC于G,GK⊥BC于K,四边形PGKQ的周长是否会随着P点位置的变化而变化?若不变,请求出周长,若变化,请说明理由.

图1 图2 备用图

练习册系列答案
相关习题

科目:初中数学 来源:四川省广安市岳池县2016-2017学年七年级下学期期末考试数学试卷 题型:解答题

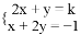
已知关于x,y的二元一次方程组的解互为相反数,则k的值是______.

查看答案和解析>>

科目:初中数学 来源:四川省广安市岳池县2016-2017学年七年级下学期期末考试数学试卷 题型:单选题

若一个数的算术平方根和立方根都等于它本身,则这个数一定是( )

A. 0或1 B. 1或-1 C. 0或±1 D. 0

查看答案和解析>>

科目:初中数学 来源:山东省淄博市2017届九年级下学期期中考试数学试卷 题型:单选题

C将一张边长为2的正方形纸片对折,设折痕为(如图①);再沿过点的折痕将∠反折,使得点落在上的点处(如图②),折痕交于点,则的长度是( )

A. B. C. D.

查看答案和解析>>

科目:初中数学 来源:山东省淄博市2017届九年级下学期期中考试数学试卷 题型:单选题

菱形的边长是,一条对角线的长是,则菱形的面积是( )

A. B. C. D.

查看答案和解析>>

科目:初中数学 来源:江苏省泰兴市2016-2017学年八年级下学期期末考试数学试卷 题型:解答题

已知:如图△ABC三个顶点的坐标分别为A(0,﹣3)、B(3,﹣2)、C(2,﹣4),正方形网格中,每个小正方形的边长是1个单位长度.

(1)画出△ABC向上平移6个单位得到的△A1B1C1;

(2)以点C为位似中心,在网格中画出△A2B2C2,使△A2B2C2与△ABC位似,且△A2B2C2与△ABC的位似比为2:1,并直接写出点A2的坐标.

查看答案和解析>>

科目:初中数学 来源:江苏省泰兴市2016-2017学年八年级下学期期末考试数学试卷 题型:填空题

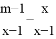
若关于x的方程=0有增根,则m的值是______.

查看答案和解析>>

科目:初中数学 来源:江苏省兴化市顾庄学区三校2016-2017学年八年级下学期期末考试数学试卷 题型:解答题

如图,已知BC是⊙O的直径,A是⊙O上一点,AD⊥BC,垂足为D,,BE交AD于点F.

(1)∠ACB与∠BAD相等吗?为什么?

(2)判断△FAB的形状,并说明理由.

查看答案和解析>>

科目:初中数学 来源:四川省巴中市南江县2016-2017学年八年级下学期期末考试数学试卷 题型:填空题

当x =_________时,分式的值为零。

查看答案和解析>>

同步练习册答案