精英家教网 > 初中数学 > 题目详情

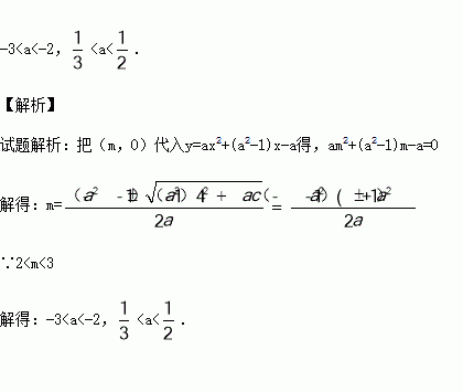
已知关于x的二次函数y=ax2+(a2-1)x-a的图象与轴的一个交点的坐标为(m,0),若2<m<3,则a的取值范围是

练习册系列答案
相关习题

科目:初中数学 来源:2017年初中毕业升学考试(湖北孝感卷)数学(解析版) 题型:填空题

如图,将直线 沿轴向下平移后的直线恰好经过点 ,且与轴交于点,在 轴上存在一点使得的值最小,则点的坐标为

查看答案和解析>>

科目:初中数学 来源:2017年初中毕业升学考试(湖北咸宁卷)数学(解析版) 题型:解答题

如图,在中,,以为直径的⊙与边分别交于两点,过点,垂足为点.

⑴求证:是⊙的切线;

⑵若,求的长

查看答案和解析>>

科目:初中数学 来源:2017年初中毕业升学考试(湖北咸宁卷)数学(解析版) 题型:选择题

如图是某个几何体的三视图,该几何体是()

A.三棱柱 B.三棱锥 C.圆柱 D.圆锥

查看答案和解析>>

科目:初中数学 来源:2017年初中毕业升学考试(湖北武汉卷)数学(解析版) 题型:解答题

如图,内接于的延长线交于点

(1)求证平分

(2)若,求的长.

查看答案和解析>>

科目:初中数学 来源:2017年初中毕业升学考试(湖北武汉卷)数学(解析版) 题型:填空题

计算的结果为

查看答案和解析>>

科目:初中数学 来源:2017年初中毕业升学考试(湖北武汉卷)数学(解析版) 题型:选择题

在一次中学生田径运动会上,参加男子跳高的15名运动员的成绩如下表所示.

成绩/
 

1.50
 

1.60
 

1.65
 

1.70
 

1.75
 

1.80
 

人数
 

2
 

3
 

2
 

3
 

4
 

1
 

则这些运动员成绩的中位数,众数分别为( )

A. 1.65,1.70 B. 1.65,1.75

C. 1.70,1.75 D. 1.70,1.70

查看答案和解析>>

科目:初中数学 来源:2017年初中毕业升学考试(湖北随州卷)数学(解析版) 题型:填空题

“抛掷一枚质地均匀的硬币,正面向上”是 事件(从“必然”、“随机”、“不可能”中选一个).

查看答案和解析>>

科目:初中数学 来源:2017年初中毕业升学考试(湖北荆门卷)数学(解析版) 题型:解答题

荆车中学决定在本校学生中,开展足球、篮球、羽毛球、乒乓球四种活动.为了了解学生对这四种活动的喜爱情况,学校随机调查了该校名学生,看他们喜爱哪一种活动(每名学生必选一种且只能从这四种活动中选择一种),现将调查的结果绘制成如下不完整的统计图.

(1)_____________,_______________;

(2)请补全上图中的条形图;

(3)根据抽样调查的结果,请估算全校1800名学生中,大约有多少人喜爱足球;

(4)在抽查的名学生中,喜爱打乒乓球的有10名同学(其中有4名女生,包括小红、小梅).现将喜爱打乒乓球的同学平均分成两组进行训练,只女生每组分两人.求小红、小梅能分在同一组的概率.

查看答案和解析>>

同步练习册答案