精英家教网 > 初中数学 > 题目详情

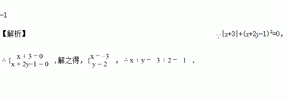
已知|x+3|+(x+2y-1)2=0,则x+y=__________.

练习册系列答案
相关习题

科目:初中数学 来源:湖南省衡阳市2017届中考模拟数学试卷 题型:单选题

中国倡导的“一带一路”建设将促进我国与世界各国的互利合作,根据规划,“一带一路”地区覆盖总人口约为4400000000人,这个数用科学记数法表示为(  )

A. 44×108 B. 4.4×109 C. 4.4×108 D. 4.4×1010

查看答案和解析>>

科目:初中数学 来源:江苏省靖江市2016届九年级下学期中考复习周练(五)(4.21)数学试卷 题型:填空题

如图,是二次函数 y=ax2+bx+c(a≠0)的图象的一部分, 给出下列命题 :①a+b+c=0;②b>2a;③ax2+bx+c=0的两根分别为-3和1;④a-2b+c>0.其中正确的命题是__________.(只要求填写正确命题的序号)

查看答案和解析>>

科目:初中数学 来源:江苏省靖江市2016届九年级下学期中考复习周练(五)(4.21)数学试卷 题型:单选题

在实数π、、sin30°,无理数的个数为( )

A. 1 B. 2 C. 3 D. 4

查看答案和解析>>

科目:初中数学 来源:江苏省泰兴市2017届九年级下学期周周练5数学试卷 题型:解答题

计算:

查看答案和解析>>

科目:初中数学 来源:江苏省泰兴市2017届九年级下学期周周练5数学试卷 题型:填空题

已知直线y=2x+8与x轴和y轴的交点的坐标分别是_______、_______;与两条坐标

轴围成的三角形的面积是__________.

查看答案和解析>>

科目:初中数学 来源:内蒙古鄂尔多斯市东胜区2017届九年级下学期第二次模拟考试数学试卷 题型:解答题

在平面直角坐标系中,O为原点,点A(﹣2,0),点B(0,2),点E,点F分别为OA,OB的中点.若正方形OEDF绕点O顺时针旋转,得正方形OE′D′F′,记旋转角为α.

(1)如图②,当α=135°时,求AE′,BF′的长;

(2)如图③,当0°﹤α﹤180°时, AE′和BF′有什么位置关系;

(3)若直线AE′与直线BF′相交于点P,求点P的纵坐标的最大值(直接写出结果即可).

查看答案和解析>>

科目:初中数学 来源:内蒙古鄂尔多斯市东胜区2017届九年级下学期第二次模拟考试数学试卷 题型:单选题

如图,田亮同学用剪刀沿直线将一片平整的树叶剪掉一部分,发现剩下树叶的周长比原树叶的周长要小,能正确解释这一现象的数学知识是( )

A. 垂线段最短 B. 经过一点有无数条直线

C. 两点之间,线段最短 D. 经过两点,有且仅有一条直线

查看答案和解析>>

科目:初中数学 来源:江苏省扬州市江都区小纪片2016-2017学年七年级下学期第一次月考数学试卷 题型:解答题

在四边形ABCD中,∠D=60°,∠B比∠A大20°,∠C是∠A的2倍,求∠A,∠B,∠C的大小.

查看答案和解析>>

同步练习册答案