精英家教网 > 初中数学 > 题目详情
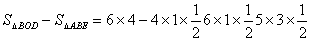
如图,△AOB 中,A ,B 两点的坐标分别为(1 ,4) ,(6 ,1) ,求△AOB 的面积.
解:过A 作x 轴平行线交y 轴于C ,过B 作y 轴平行线交x 轴D ,且两直线交于点E

=24-2-3-7.5=24-12.5=11.5
练习册系列答案
相关习题

科目:初中数学 来源: 题型:

如图,△AOB中,∠A=∠B,以O为圆心的圆经过AB的中点C,且分别交OA、OB于点精英家教网E、F
(1)求证:AB是⊙O的切线;
(2)当△AOB腰上的高等于底边的一半,且AB=4
3
时,求劣弧ECF的长及阴影部分的面积.

查看答案和解析>>

科目:初中数学 来源: 题型:

2、如图,△AOB中,∠B=30度.将△AOB绕点O顺时针旋转52°得到△A′OB′,边A′B′与边OB交于点C(A′不在OB上),则∠A′CO的度数为(  )

查看答案和解析>>

科目:初中数学 来源: 题型:

如图,△AOB中,OA=3cm,OB=1cm,将△AOB绕点O逆时针旋转90°到△A′OB′,那么AB扫过的区域(图中阴影部分)的面积是
cm2

查看答案和解析>>

科目:初中数学 来源: 题型:

如图,△AOB中,OA=OB,∠AOB=90゜,BD平分∠ABO交OA于D,AE⊥BD于E.
求证:BD=2AE.

查看答案和解析>>

科目:初中数学 来源: 题型:

如图,△AOB中,OA=OB=10,∠AOB=120°,以O为圆心,5为半径的⊙O与OA、OB相交.
求证:AB是⊙O的切线.

查看答案和解析>>

同步练习册答案