精英家教网 > 初中数学 > 题目详情
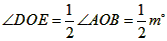
如图所示,已知∠AOB=90°,∠AOC为锐角,OD平分∠AOC,OE平分∠BOC。
(1)求∠DOE的度数;
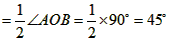
(2)当∠AOB=m°时,∠DOE等于多少度?
解:(1)


(3)
练习册系列答案
相关习题

科目:初中数学 来源: 题型:

25、如图所示,已知AO⊥BC于O,DO⊥OE,∠1=65°,求∠2的度数.

查看答案和解析>>

科目:初中数学 来源:1+1轻巧夺冠·优化训练(冀教版)七年级数学(下) 冀教版银版 题型:022

如图所示,已知AO⊥BC,垂足为O,且∠COD-∠DOA=30°,则∠BOD=________.

查看答案和解析>>

科目:初中数学 来源: 题型:解答题

如图所示,已知AO⊥BC于O,DO⊥OE,∠1=65°,求∠2的度数.

查看答案和解析>>

科目:初中数学 来源:同步题 题型:解答题

如图所示,已知AO⊥BC于O,DO⊥OE,∠1=65°,求∠2的度数.

查看答案和解析>>

科目:初中数学 来源:《29.1.1 证明的再认识》2010年同步练习(A卷)(解析版) 题型:解答题

如图所示,已知AO⊥BC于O,DO⊥OE,∠1=65°,求∠2的度数.

查看答案和解析>>

同步练习册答案