精英家教网 > 初中数学 > 题目详情
如图,已知点A(3,0),以A为圆心作⊙A与y轴切于原点,与x轴的另一个交点为B,过B作⊙A的切线l。
(1)以直线l为对称轴的抛物线过点A及点C(0,9),求此抛物线的解析式;
(2)抛物线与x轴的另一个交点为D,过D作⊙A的切线DE,E为切点,求此切线长;
(3)点F是切线DE上的一个动点,当△BFD与EAD△相似时,求出BF的长。
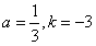
解:(1)设抛物线的解析式为
∵抛物线经过点A(3,0)和C(0,9)

解得:
(2)连接AE
∵DE是⊙A的切线,
∴∠AED=90°,AE=3
∵直线l是抛物线的对称轴,点A,D是抛物线与x轴的交点
∴AB=BD=3
∴AD=6
在Rt△ADE中,
(3)当BF⊥ED时
∵∠AED=∠BFD=90°
∠ADE=∠BDF
∴△AED∽△BFD



当FB⊥AD时 ∵∠AED=∠FBD=90°
∠ADE=∠FDB
∴△AED∽△FBD


∴BF的长为
练习册系列答案
相关习题

科目:初中数学 来源: 题型:

16、如图,已知点D是∠ABC的平分线上一点,点P在BD上,PA⊥AB,PC⊥BC,垂足分别为A,C、下列结论错误的是(  )

查看答案和解析>>

科目:初中数学 来源: 题型:

精英家教网如图,已知点C为反比例函数y=-
6x
上的一点,过点C向坐标轴引垂线,垂足分别为A、B,那么四边形AOBC的面积为
 

查看答案和解析>>

科目:初中数学 来源: 题型:

精英家教网如图,已知点A、B、C、D均在已知圆上,AD∥BC,AC平分∠BCD,∠ADC=120°,四边形ABCD的周长为10cm.图中阴影部分的面积为(  )
A、
3
2
B、
3
-
3
C、2
3
D、4
3

查看答案和解析>>

科目:初中数学 来源: 题型:

如图,已知点D为△ABC中AC边上一点,且AD:DC=3;4,设
BA
=
a
BC
b

(1)在图中画出向量
BD
分别在
a
b
方向上的分向量;
(2)试用
a
b
的线性组合表示向量
BD

查看答案和解析>>

科目:初中数学 来源: 题型:

如图,已知点C为AB上一点,AC=12cm,CB=
23
AC,D、E分别为AC、AB的中点.
(1)图中共有
10
10
线段.
(2)求DE的长.

查看答案和解析>>

同步练习册答案