精英家教网 > 初中数学 > 题目详情
明珠大剧场座落在聊城东昌湖东岸,其上部为能够旋转的拱形钢结构,并且具有开启、闭合功能,全国 独一无二,如图1,舞台顶部横剖面拱形可近似看作抛物线的一部分,其中舞台高度1.15米,台口高度13.5米,台口宽度29米,如图2,以ED所在直线为x轴,过拱顶A点且垂直于ED的直线为y轴,建立平面直角坐标系。
(1)过拱形抛物线的函数表达式;
(2)舞台大幕悬挂在长度为20米的横梁MN上,其下沿恰与舞台面接触,求大幕的高度(精确到0.01 米)。
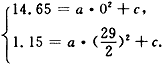
解:(1)由题设可知,OA=13.5+1.15=14.65米,OD=米,
∴A(0,14.65),C(,1.15),
设拱形抛物线的关系式为y=ax2+c,则

解得 a=-,c=14.65,
所以所求函数的关系式为y=-x2+14.65;
(2)由MN=20米,设点N的坐标为(10,y0),
代入关系式,得y0=-×102+14.65≈8.229,
∴y0-1.15=8.229-1.15=7.079≈7.08,
即大幕的高度约为7.08米。
练习册系列答案
相关习题

科目:初中数学 来源: 题型:

明珠大剧场座落在聊城东昌湖西岸,其上部为能够旋转的拱形钢结构,并且具有开启、闭合功能,全国独-无二,如图1.舞台顶部横剖面拱形可近似看作抛物线的一部分,其中舞台高度1.15米,台口高度13.5米,台口宽度29米,如图2.以ED所在直线为x轴,过拱顶A点且垂直于ED的直线为y轴,建立平面直角坐标系.
(1)求拱形抛物线的函数关系式;
(2)舞台大幕悬挂在长度为20米的横梁MN上,其下沿恰与舞台面接触,求大幕的高度?(精确到0.01米)
精英家教网

查看答案和解析>>

科目:初中数学 来源:第34章《二次函数》中考题集(25):34.4 二次函数的应用(解析版) 题型:解答题

明珠大剧场座落在聊城东昌湖西岸,其上部为能够旋转的拱形钢结构,并且具有开启、闭合功能,全国独-无二,如图1.舞台顶部横剖面拱形可近似看作抛物线的一部分,其中舞台高度1.15米,台口高度13.5米,台口宽度29米,如图2.以ED所在直线为x轴,过拱顶A点且垂直于ED的直线为y轴,建立平面直角坐标系.
(1)求拱形抛物线的函数关系式;
(2)舞台大幕悬挂在长度为20米的横梁MN上,其下沿恰与舞台面接触,求大幕的高度?(精确到0.01米)

查看答案和解析>>

科目:初中数学 来源:2007-2008学年福建省泉州市城东中学九年级(上)期末数学试卷(解析版) 题型:解答题

明珠大剧场座落在聊城东昌湖西岸,其上部为能够旋转的拱形钢结构,并且具有开启、闭合功能,全国独-无二,如图1.舞台顶部横剖面拱形可近似看作抛物线的一部分,其中舞台高度1.15米,台口高度13.5米,台口宽度29米,如图2.以ED所在直线为x轴,过拱顶A点且垂直于ED的直线为y轴,建立平面直角坐标系.
(1)求拱形抛物线的函数关系式;
(2)舞台大幕悬挂在长度为20米的横梁MN上,其下沿恰与舞台面接触,求大幕的高度?(精确到0.01米)

查看答案和解析>>

科目:初中数学 来源:2013年山东省聊城市中考数学模拟试卷(二)(解析版) 题型:解答题

明珠大剧场座落在聊城东昌湖西岸,其上部为能够旋转的拱形钢结构,并且具有开启、闭合功能,全国独-无二,如图1.舞台顶部横剖面拱形可近似看作抛物线的一部分,其中舞台高度1.15米,台口高度13.5米,台口宽度29米,如图2.以ED所在直线为x轴,过拱顶A点且垂直于ED的直线为y轴,建立平面直角坐标系.
(1)求拱形抛物线的函数关系式;
(2)舞台大幕悬挂在长度为20米的横梁MN上,其下沿恰与舞台面接触,求大幕的高度?(精确到0.01米)

查看答案和解析>>

科目:初中数学 来源:2007年全国中考数学试题汇编《二次函数》(05)(解析版) 题型:解答题

(2007•聊城)明珠大剧场座落在聊城东昌湖西岸,其上部为能够旋转的拱形钢结构,并且具有开启、闭合功能,全国独-无二,如图1.舞台顶部横剖面拱形可近似看作抛物线的一部分,其中舞台高度1.15米,台口高度13.5米,台口宽度29米,如图2.以ED所在直线为x轴,过拱顶A点且垂直于ED的直线为y轴,建立平面直角坐标系.
(1)求拱形抛物线的函数关系式;
(2)舞台大幕悬挂在长度为20米的横梁MN上,其下沿恰与舞台面接触,求大幕的高度?(精确到0.01米)

查看答案和解析>>

同步练习册答案