精英家教网 > 初中数学 > 题目详情

下列计算正确的是(  )

A. a3﹣a2=a B. a2•a3=a6 C. (a﹣b)2=a2﹣b2 D. (﹣a2)3=﹣a6

练习册系列答案
相关习题

科目:初中数学 来源:江西省抚州市2017届九上学期期中考试数学试卷 题型:单选题

在一个口袋中有4个完全相同的小球,它们的标号分别为1,2,3,4,从中随机摸出一个小球记下标号后放回,再从中随机摸出一个小球,则两次摸出的小球的标号之和大于4的概率是( )

A. B. C. D.

查看答案和解析>>

科目:初中数学 来源:2017年广东省惠州市惠阳区中考数学模拟试卷 题型:填空题

因式分【解析】
x2﹣36=_____.

查看答案和解析>>

科目:初中数学 来源:2017年辽宁省大连市中考数学一模试卷 题型:解答题

计算:( +1)(﹣1)﹣+

查看答案和解析>>

科目:初中数学 来源:2017年辽宁省大连市中考数学一模试卷 题型:填空题

某校12名学生参加区级诗词大赛,他们得分情况如下表所示:

分数

87

88

90

93

97

人数

2

3

4

2

1

则这12名学生所得分数的众数是_____分.

查看答案和解析>>

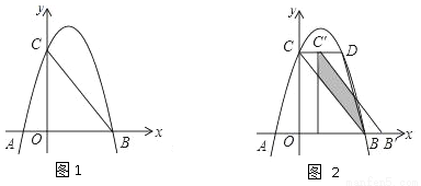
科目:初中数学 来源:2017年河南省安阳市林州市中考数学二模试卷 题型:解答题

如图1,抛物线)与轴、轴分别交于点A(﹣1,0)、B(3,0)、点C三点.

(1)试求抛物线的解析式及点C的坐标;

(2)点D(2,)在第一象限的抛物线上,连接BC、BD.试问,在对称轴左侧的抛物线上是否存在一点P,满足∠PBC=∠DBC?如果存在,请求出点P点的坐标;如果不存在,请说明理由;

(3)如图2,在(2)的条件下,将△BOC沿轴正方向以每秒1个单位长度的速度向右平移,记平移后的三角形为△B′O′C′.在平移过程中,△B′O′C′与△BCD重叠的面积记为S,设平移的时间为t秒(),试求S与t之间的函数关系式?

查看答案和解析>>

科目:初中数学 来源:2017年河南省安阳市林州市中考数学二模试卷 题型:解答题

先化简,再求值: ,其中x满足x2﹣x﹣1=0.

查看答案和解析>>

科目:初中数学 来源:广东省揭阳市实验学校2016-2017学年八年级上学期第一次阶段教学质量检测数学试卷 题型:解答题

如图,已知∠ADC=90°,AD=8,CD=6,AB=26,BC=24.

(1)试说明:△ABC是直角三角形.

(2)请求图中阴影部分的面积.

查看答案和解析>>

科目:初中数学 来源:广东省梅州市2016-2017学年八年级下学期第二次月考数学试卷(图片版答案) 题型:单选题

下列多项式中,不能运用公式进行分解因式的是( )

A. B. C. D.

查看答案和解析>>

同步练习册答案