精英家教网 > 初中数学 > 题目详情
如图矩形ABCD中,E为BC上一点,DF⊥AE于F。
(1)求证:△ABE∽△DFA;
(2)若AB=6,AD=12,BE=8,求DF的长。
解:⑴∵DE⊥AE
∴∠AFD=90°
∵矩形ABCD,
∴∠B=90°=∠AFD 
∵AD∥BC
∴∠DAE=∠AEB
∴△ABE∽△DFA;
(2)∵AB=6,BE=8,∠B=90°
∴AE=10
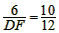
∵△ABE∽△DFA


∴DF=7.2。
练习册系列答案
相关习题

科目:初中数学 来源: 题型:

14、如图矩形ABCD中BC=8,AB=4,将矩形纸片沿对角线对折,使C点落在F处,BC与AD边交于点E,则下列四个结论中:
①BE=DE,②∠ABE=30°,③AE=3,④S△DEF:S△BED=3:5.
正确的是
12

查看答案和解析>>

科目:初中数学 来源: 题型:

精英家教网如图矩形ABCD中,E为BC上一点,DF⊥AE于F.
(1)求证:△ABE∽△DFA;
(2)若AB=6,AD=12,BE=8,求DF的长.

查看答案和解析>>

科目:初中数学 来源: 题型:

29、如图矩形ABCD中,DP平分∠ADC交BC于P点,将一个直角三角板的直角顶点放在P点处,且使它的一条直角边过A点,另一条直角边交CD于E.找出图中与PA相等的线段.并说明理由.

查看答案和解析>>

科目:初中数学 来源: 题型:

精英家教网如图矩形ABCD中,过A,B两点的⊙O切CD于E,交BC于F,AH⊥BE于H,连接EF.
(1)求证:∠CEF=∠BAH;
(2)若BC=2CE=6,求BF的长.

查看答案和解析>>

科目:初中数学 来源: 题型:

如图矩形ABCD中,AB=8cm,CB=4cm,E是DC的中点,BF=
14
BC,则四边形DBFE的面积是多少?

查看答案和解析>>

同步练习册答案